Граничная частота
частота, на которой напряжение или ток в электрической цепи (фильтр, контур и т. д.) уменьшаются до определенного минимально допустимого значения (обычно ЗдБ); различают верхнюю и нижнюю граничные частоты, их разность определяет полосу пропускания устройства.
- Telegram
- Вконтакте
- Одноклассники
Научные статьи на тему «Граничная частота»
Орбитальные взаимодействия через пространство и через связи
Анализируя формы и энергии граничных МО, можно решать множества вопросов, которые связанны со строениями. Главная цель построений диаграммы орбитального взаимодействия заключается в нахождении и анализе граничных. орбиталей и объяснении этих орбитальных взаимодействий, которые и контролируют формы граничных молекулярных. Таким образом, в результате двух различных значений локального магнитного поля, определяет резонансную частоту. Изохроны — это ядра, которые имеют одинаковую резонансную частоту, однако могут иметь разные значения
Расчет граничной частоты спектра полиномиальных сплайнов
Рассматривается задача определения граничной частоты спектра сплайнов, заданных в виде взвешенной суммы базисных функций, весовые коэффициенты которых вычисляются как взвешенная сумма произведений отсчетов исходного сигнала на соответствующие значения базисной функции. Приведен вывод формулы для расчета граничной частоты амплитудного спектра полиномиального сплайна произвольной степени.
Расчет электрических фильтров
Частота, которая лежит на границе полос прозрачности и непрозрачности называется частотой среза (граничная. частота). При расчете низкочастотных электрических фильтров, обычно исходными данными являются частота среза (граничная. частота пропускания); сопротивление нагрузки; граничная частота полосы непрозрачности, на которой затухание. , которая рассчитывается следующим образом: $Vn = fs / fc$ где, fc — частота среза; fs — граничная частота
Оценка граничной частоты низкочастотного эквивалента телефонного канала связи при случайном наблюдении
Рассматриваются вопросы, связанные с анализом оптимального когерентного модема в системе цифровой телефонии. Такого вида модемы относят к классу интеллектуальных, так как оптимизация их параметров осуществляется как на передаче (в модуляторе), так и на приеме (в демодуляторе). При организации двухсторонней связи между удаленными модемами процедура адаптации к каналу связи начинается с того, что передающий модем посылает в канал специальный тестовый сигнал. Приемник удаленного модема по этому сигналу оценивает и в соответствии с протоколом обратной связи передает удаленному передатчику требуемые ему параметры канала связи и другие данные о желаемой его конфигурации. Аналогичная процедура выполняется и в противоположном направлении. Основная сложность при такой оптимизации передаваемого и принимаемого модемов состоит в том, что канал связи, как правило, нестационарен, а принимаемые сигналы наблюдаются в шумах. В данной работе, полагая, что передаточная функция низкочастотного эквивале.
Еще термины по предмету «Электроника, электротехника, радиотехника»
Положительный электрод
для устройства, имеющего два электрода, этот электрод имеет более высокий эпектрический потенциал; в некоторых спучаях, например, дпя электронных ламп и полупроводниковых устройств термин «положительный электрод» применяют для одного или другого электрода в зависимости отусловия электрического оперирования устройства; в других спучаях (например, для эпектрохимическихэлементов) термин «положительный электрод» относят к определенному электроду.
Принудительное охлаждение (Force cooling)
передача тепла с поверхности охлаждаемого предмета ( охладитель полупроводникового прибора) в окружающую среду за счет обдува потоком воздуха, проточной жидкости либо за счет испарения жидкости с поверхности изделия.
Разрядник вентильный (Valve-typc arrester)
вентильный разрядник; устройство для замыкания электрических цепей, предназначенное для защиты электрооборудования сетей переменного тока от различных перенапряжений; представляет собой ряд искровых промежутков, последовательно с которыми включены резисторы, сопротивление которых зависит от напряжения.
- Верхняя граничная частота электронного усилителя
- Граничная частота коэффициента передачи тока
- Нижняя граничная частота электронного усилителя
- Граничное трение
- Граничная смазка
- Граничные испытания
- Граничные условия
- Опцион граничный
- Верхняя граничная частота полосы пропускания интегральной микросхемы
- Нижняя граничная частота полосы пропускания интегральной микросхемы
- Частоты
- Частота
- Граничное значение атрибута
- Граничная точка множества
- Анализ граничных значений
- Частота циклирования, частота нагружения
- Граничная точка профиля зуба
- Граничное значение (boundary value)
- Граничное напряжение биполярного транзистора
- Граничный режим генераторной лампы
Повышай знания с онлайн-тренажером от Автор24!
- Напиши термин
- Выбери определение из предложенных или загрузи свое
- Тренажер от Автор24 поможет тебе выучить термины с помощью удобных и приятных карточек
Все сервисы Справочника в твоем телефоне! Просто напиши Боту, что ты ищешь и он быстро найдет нужную статью, лекцию или пособие для тебя!
Подписаться через qr-код
- Научные статьи
- Лекторий
- Методические указания
- Справочник терминов
- Статьи от экспертов
- Стать автором
- Предложить статью
- Отзывы об Автор24
- Последние статьи
- Акции партнеров
- Помощь эксперта
- Справочник рефератов
- Решение задач в 2 клика
- Для правообладателей
- Работа для преподавателей
- Работа для репетиторов
- Психологическая помощь
- Партнерская программа
- Реклама на сайте
Возможность создать свои термины в разработке
Еще чуть-чуть и ты сможешь писать определения на платформе Автор24. Укажи почту и мы пришлем уведомление с обновлением ☺️
ГРАНИЧНАЯ ЧАСТОТА
частота, на к-рой напряжение U или сила тока I в электрнч. цепи (фильтр, колебат. контур и др.), крутизна хар-ки транзистора уменьшаются до значения, принятого за минимально допускаемое (в большинстве случаев в корень из 2 раз от Макс. значения). Различают верхнюю и нижнюю Г. ч., их разность определяет полосу пропускания электрич. цепи. См. рис.
К ст. Граничная частота. Зависимость U/Umaх или U/Umax электрической цепи от частоты f; fН1 и fН2 — нижние, fН1 и fН2 — верхние граничные частоты
Большой энциклопедический политехнический словарь . 2004 .
Смотреть что такое «ГРАНИЧНАЯ ЧАСТОТА» в других словарях:
граничная частота — частота среза [IEV number 151 13 54] EN cut off frequency lower or upper limiting frequency of a pass band or stop band [IEV number 151 13 54] FR fréquence de coupure, f fréquence limite inférieure ou supérieure… … Справочник технического переводчика
граничная частота — ribinis dažnis statusas T sritis Standartizacija ir metrologija apibrėžtis Dažnis, kuriam esant tam tikros grandinės ar įtaiso perdavimo faktoriaus vertė sumažėja tam tikru dydžiu jo vertės dažnių srityje, kurioje ji nepriklauso nuo dažnio,… … Penkiakalbis aiškinamasis metrologijos terminų žodynas
граничная частота — kraštinis dažnis statusas T sritis Standartizacija ir metrologija apibrėžtis Dažnis, kuriam esant stiprintuvo galios stiprinimo koeficientas sumažėja iki 50 % didžiausios jo vertės. atitikmenys: angl. cut off frequency vok. Grenzfrequenz, f;… … Penkiakalbis aiškinamasis metrologijos terminų žodynas
граничная частота — ribinis dažnis statusas T sritis fizika atitikmenys: angl. boundary frequency; cut off frequency; limiting frequency vok. Grenzfrequenz, f; Schnittfrequenz, f rus. граничная частота, f; предельная частота, f; частота среза, f pranc. fréquence de… … Fizikos terminų žodynas
граничная частота — ribinis dažnis statusas T sritis automatika atitikmenys: angl. boundary frequency; limit frequency; limiting frequency vok. Grenzfrequenz, f rus. граничная частота, f; предельная частота, f pranc. fréquence de coupure, f; fréquence limite, f … Automatikos terminų žodynas
граничная частота магнитного поля — граничная частота Частота синусоидального магнитного поля, при которой действительная часть комплексной магнитной проницаемости уменьшается до значения, составляющего 70 % от начальной магнитной проницаемости при нормальной температуре и… … Справочник технического переводчика
граничная частота коэффициента передачи тока — Частота, при которой модуль коэффициента передачи тока в схеме с общим эмиттером экстраполируется к единице. Обозначение fгр ft Примечание Частота, равная произведению модуля коэффициента передачи тока на частоту измерения, которая находится в… … Справочник технического переводчика
граничная частота шумового диода — fгр finc Значение частоты, на которой спектральная плотность напряжения или мощности шумового диода имеет максимальное отклонение от ее среднего значения. [ГОСТ 25529 82] Тематики полупроводниковые приборы Обобщающие термины шумовые диоды … Справочник технического переводчика
Граничная частота транзистора — Для улучшения этой статьи желательно?: Дополнить статью (статья слишком короткая либо содержит лишь словарное определение). Проставить для статьи более точные категории. Проставить интервики в рамках проекта Интервики … Википедия
Граничная частота коэффициента передачи тока — 30. Граничная частота коэффициента передачи тока D. Übergangsfrequenz der Stromverstärkung (Transitfrequenz) E. Transition frequency F. Fréquence de transition fгр Частота, при которой модуль коэффициента передачи тока в схеме с общим эмиттером… … Словарь-справочник терминов нормативно-технической документации
ГРАНИЧНАЯ ЧАСТОТА
частота, на к-рой напряжение U или сила тока I в электрнч. цепи (фильтр, колебат. контур и др.), крутизна хар-ки транзистора уменьшаются до значения, принятого за минимально допускаемое (в большинстве случаев в корень из 2 раз от Макс. значения). Различают верхнюю и нижнюю Г. ч., их разность определяет полосу пропускания электрич. цепи. См. рис.
К ст. Граничная частота. Зависимость U/Umaх или U/Umax электрической цепи от частоты f; fН1 и fН2 — нижние, fН1 и fН2 — верхние граничные частоты
Зависимость параметров транзистора от частоты
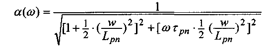
С ростом частоты параметры транзистора резко изменяются. Наиболее важной является зависимость коэффициента передачи тока эмиттера α (или базы β) от частоты. Можно показать, что:
Это величина комплексная. Характеризуется модулем α(ω) и фазой φα:
Из формулы видно, что с ростом ω α — уменьшается, т.е. с ростом ω увеличивается процесс рекомбинации носителей в базе.
Частотные свойства транзистора улучшаются с уменьшением толщины базы w и с увеличением коэффициента диффузии D неосновных носителей заряда:
При этом следует учесть, что с уменьшением толщины базы увеличивается её объёмное сопротивление, а это плохо.
Чем больше подвижность носителей заряда, тем более высокими частотными свойствами обладают транзисторы.
Поэтому п-р-п транзисторы более высокочастотны, чем р-п-р, т.к. подвижность электронов выше, чем дырок.
Кремниевые транзисторы имеют меньшую подвижность носителей, и поэтому они менее высокочастотны, чем германиевые при прочих равных условиях.
Частоты, на которых модуль коэффициента передачи тока эмиттера α(ω) уменьшается в √2-раз (3дБ) по сравнению с его значением на низкой частоте, называется граничной частотой коэффициента передачи тока эмиттера и обозначается fα или ωα=2 πfα:
Следует учесть, что транзисторы, изготовленные из одного и того же материала, но с различной толщиной базы, будут иметь разны fα.
Можно показать, что граничная частота в схеме с ОБ равна:
Для получения высоких частот, например для германия Ge fα=100 МГц необходимо w <</i> 4 мкм.
Граничные частоты связаны с диффузионной ёмкостью эмиттера Cэд соотношением:
Для инженерных расчётов можно пользоваться формулой:
Отсюда амплитудные и фазочастотные характеристики коэффициента передачи имеют вид как на рисунке (сплошной линией обозначены реальные зависимости, рассчитанные по более точным формулам, пунктиром — расчётные):
Коэффициент передачи тока базы (β) в схеме с общим эмиттером зависит от частоты сильнее, чем α в схеме с общей базой.
Это связано не с уменьшением α, а с увеличением φα. На низких частотах ток IК и IЭ совпадают по фазе:
На высоких частотах ток IК начинает отставать по фазе от IЭ и по модулю уменьшаться, a Iб растет в несколько раз:
Фазовый сдвиг на частоте ω<0,1ω<sub>α(не превышает 7°) можно учесть поправочным коэффициентом:
β уменьшается до 0,7 β на частоте (1-α )fα и до 1 при |h21б| = 0,5.
К основным параметрам, характеризующим высокочастотные свойства транзисторов, относятся предельные и граничные частоты, а именно:
предельная частота fT коэффициента усиления по току в схеме с общим эмиттером (при этом β = h21э=1);
предельная частота * коэффициента усиления по мощности, на которой kp=1;
где fα — в Гц; r‘бСк — (пс).
В определении максимальной частоты генерации большую роль начинает играть постоянная времени цепи обратной связи r‘бСк.
Для повышения fmax надо увеличивать fα и снижать r‘бСк.
3. граничная частота fα коэффициента передачи по току в схеме с общей базой, на которой α= 0,7 α :
где т = 1,2 для бездрейфовых (диффузионных) транзисторов;
т = 1,6 для дрейфовых транзисторов.
4. граничная частота fβ коэффициента усиления по току в схеме с общим эмиттером, на которой β = 0,7 β :
Выбирают fα ≥(3÷4)fверхняя ус
При выборе типа транзистора для широкополосного усилителя следует учитывать следующее:
1. Транзистор должен иметь достаточно большое значение fα, что уменьшает частотные искажения усилительного каскада. Обычно fα ≥(3 ÷4) fв, где fв -заданная верхняя частота полосы пропускания усилителя.
2. Транзистор должен иметь возможно большее значение fβ, что повышает коэффициент усиления каскада. При этом желательно иметь возможно меньший разброс по этому параметру.
Т.о. транзистор для работы на высоких частотах должен иметь малую толщину базы (w), малое объемное сопротивление базы (r‘б) и малую емкость Ск. Эти требования противоречивы, т.к.:
уменьшение w вызывает увеличение r‘б;
уменьшение г’б вызывает увеличение Ск (т.к. увеличивается концентрация примесей в базе) и снижает пробивное напряжение коллектора Uк проб.
В связи с этим предельные частоты бездрейфовых транзисторов относительно низки.




