Исследование теплопоступлений от ПЭВМ в помещение
В тепловом балансе помещений умственного труда с применением ПЭВМ компьютерная техника является одним из главных источников теплопоступлений. В справочной литературе указано, что «тепловыделения от оборудования принимаются в соответствии с технологическим заданием, а при отсутствии данных — 300 Вт от одной ПЭВМ». Многочисленные исследования различных конфигураций ПЭВМ показывают, что среднее потребление даже весьма «навороченного» компьютера составляет всего лишь около 150 Вт.
В тепловом балансе помещений умственного труда с применением ПЭВМ компьютерная техника является одним из главных источников теплопоступлений. В справочной литературе [1] указано, что «…тепловыделения от оборудования принимаются в соответствии с технологическим заданием, а при отсутствии данных — 300 Вт от одной ПЭВМ». Анализ многочисленных проектов по вентиляции и кондиционированию офисных центров показывает, что технологического задания на тепловыделение от компьютерной техники проектировщикам не выдается. Специалисты, руководствуясь справочной литературой, тепловыделения от одной ПЭВМ принимают равными 300 Вт. Но так ли это на самом деле и к чему приводят неточные данные тепловыделений от ПЭВМ?
Существует несколько подходов к расчету тепловыделения в корпусе компьютера, но остановимся на четырех основных [2]. Каждый из них имеет свои достоинства и недостатки.
- По паспортным значениям потребляемой узлами мощности. Это весьма приблизительная оценка, которая в реальной жизни почти никогда не выполняется, ведь не работают одновременно все узлы компьютера в пиковом режиме. Тем более производители постоянно модернизируют свои узлы, что приводит к изменению потребляемой ими мощности. Ориентировочные данные по тепловыделениям приведены в табл. 1. Из этой таблицы видно, что паспортные значения потребляемой мощности ПЭВМ имеют очень широкий диапазон.
- Просто зайти на сайт, представляющий сервис для расчета тепловыделения (потребляемой мощности), выбрать нужные узлы и надеясь на современность их базы и правильность заложенных величин применить их результаты. Достоинство: не надо искать данные, они должны присутствовать в базах предлагаемых сервисов. Недостатки: базы не успевают за производителями узлов, часто они содержат недостоверные данные.
- По потребляемой узлами мощности с учетом коэффициента тепловыделения и типовой загрузки узлов. Достоинство: более высокая точность. Недостатки: необходим большой объем информации или опыт, знание характеристик узлов, режимов работы ПК.
Есть множество публикаций о том, как выполнить этот расчет, но до сих пор возникают вопросы при его выполнении. Это связано с тем, что не только мощность тепловыделения сложно найти у производителя, но и даже мощность, потребляемая интересующим нас узлом, не всегда известна. В работе [2] рассмотрены тепловыделения отдельных узлов системного блока с учетом коэффициентов тепловыделения и загрузки, а также приведена оценка тепловыделения компьютеров, условно разбитых на три группы по особенностям применения и потребности в ресурсах (табл. 2). В этой таблице даны тепловыделения для достаточно напряженной работы компьютера. Основными источниками тепловыделения являются материнская плата и расположенные на ней — процессор, видеокарта и память (в сумме более 50 % общего тепловыделения).
В настоящее время установлено, что в паспортных данных офисного оборудования потребляемая мощность обычно завышена. В ходе работы [3] было установлено, что для офисного оборудования, паспортная мощность которого не превышает 1 кВт, тепловыделения составляют от 25 до 50 % [3].
В работе [4] приведены результаты тестирования по определению энергопотребления от девяти компьютеров различной мощности. Тестирование производилось в нескольких типичных состояниях: состояние покоя, состояние максимальной процессорной нагрузки, состояние максимальной нагрузки на систему целиком, работа в графическом редакторе, двухпроходное перекодирование HD MPEG-2 видеоролика, финальный рендеринг 3D-сцен в Autodesk 3ds max 2010 в разрешении 1920×1080.
В табл. 3 приведены усредненные значения энергопотребления полной системы (включающей материнскую плату, процессор, память, видеокарту, жесткий диск и процессорный «кулер» с вентилятором) при том или ином типе нагрузки на тестовые системы.
Следует отметить, что разные процессоры при разгоне до примерно одних и тех же пределов по частоте показывают совершенно разное энергопотребление. Казалось бы, в росте энергопотребления и тепловыделения при увеличении частоты процессора нет ничего удивительного. Известно, что эти величины связаны между собой пропорциональной зависимостью. Например, сегодня для «настольных» процессоров приняты несколько типовых значений тепловыделения под нагрузкой: 130 или 95 Вт для производительных моделей и 73 или 65 Вт — для общеупотребительных и бюджетных [4].
Анализируя вышеприведенные данные, можно сделать следующие выводы.
Полученные максимальные измеренные тепловыделения составляли от 52 до 70 Вт. При этом паспортное значение мощности составляло от 165 до 759 Вт. Тепловыделения от компьютера, работающего с монитором, определялись путем вычитания расчетного значения тепловыделений монитора из суммарно измеренной величины. Wilkins и McGaffin опубликовали данные исследования 12-ти компьютеров различных модификаций. Средние тепловыделения составляли 56 Вт, а средняя паспортная мощность — 391 Вт. Итак, средняя величина тепловыделений по 20-ти исследованным компьютерам равна 55,6 Вт.
Исследования [4] показывают, что среднее потребление компьютера составляет всего лишь около 150 Вт, то есть 300 Вт согласно [1] — величина тепловыделений с «хорошим» запасом.
Нами были выполнены экспериментальные исследования по определению величины теплопоступлений от ПЭВМ с применением прибора PCE-GA 70, который показан на рис. 1. Прибор позволяет проводить измерения параметров воздушной среды в помещении с помощью универсального зонда. Память прибора позволяет сохранять до 20 тыс. значений, передавать и обрабатывать их на компьютере с помощью специального программного обеспечения. Технические характеристики прибора PCE-GA 70 приведены в табл. 4. Замеры параметров микроклимата проводились в течение всего рабочего дня непосредственно у задней стенки системного блока в месте расположения вентилятора охлаждения блока питания (рис. 2).
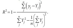
Результаты исследования изобразим графически (рис. 3). По оси абсцисс откладываем время проведения замеров (τx30, с), по оси ординат — значения температуры удаляемого воздуха (tу, °С). Выполнив аппроксимацию кривой ряда 1, выделенного синим цветом, получим y = 0,0023x + 41,05 — линейный ряд с R 2 = 0,7605, y = 0,6284 ln(x) + 38,418 — это логарифмический ряд с R 2 = 0,9109, y = –4e –16 x 6 + 1e –12 x 5 – 1e –09 x 4 + 6e –07 x 3 – 0,0002x 2 + 0,0288x + 39,682 — это полиномиальный ряд с R 2 = 0,9436, где R 2 — величина, характеризующая достоверность аппроксимации — чем ближе значение R2 к единице, тем надежнее линия тренда аппроксимирует конкретный исследуемый процесс. Величина R2 определяется следующим образом:
Видно, что наиболее близка к исследуемой кривой полинома (R 2 = 0,9436). Однако прямую у = 0,0023х + 41,05 с определенной степенью достоверности также можно применять для определения температуры удаляемого воздуха в любой момент времени х.
Расчет теплопоступлений от компьютера проводился по следующей формуле (приближенно):
где Qпов — теплопоступления от нагретой поверхности оборудования, Вт; αпов — коэффициент сложного лучистоконвективного теплообмена, определяется по работе [5], αпов = 10; tпов — температура нагретой поверхности, принимаем tудал.возд = 42 °С; tв — температура воздуха внутри помещения, принимаем tвозд = 25 °С; Fпов — площадь поверхности системного блока исследуемого компьютера, в среднем Fпов = 0,85 м 2 .
Определим расчетную величину теплопоступления по формуле (1):
Например, при расчете теплопоступлений в офисных помещениях крупнейшая шведская вентиляционная компания Swegon ориентируется на значение 150 Вт на один компьютер [6]. Сравнивая вышеприведенные данные, можно сделать вывод, что результаты различных исследований по определению средней величины теплопоступлений от ПЭВМ идентичны. Итак, значение теплопоступлений от одного компьютера в офисном помещении следует принимать 150 Вт.
Тепловыделения от оборудования вносят существенный вклад в тепловую нагрузку помещения. Информация, приведенная в данной статье, может стать полезным инструментом для инженеров, выполняющих расчеты нагрузок на холодильное оборудование или анализ энергопотребления.
Авторы также выражают надежду, что изготовители оборудования осознают важность величины паспортной мощности для определения тепловых нагрузок и предпримут необходимые шаги для предоставления более реалистичной информации о потребляемой мощности.
Отметим, что также необходимо регламентировать выдачу технологического задания на теплопоступления от офисной техники при проектировании систем вентиляции и кондиционирования воздуха в помещениях умственного труда с применением ПЭВМ.
Почему процессоры и видеокарты становятся слишком «прожорливыми»?
Лишние киловатт-часы, увеличивающие счет за электричество.
Новые поколения процессоров выходят примерно каждые два года. Довольно долгое время центральные процессоры (CPU, или просто процессоры) держались на практически постоянном уровне потребляемой мощности, тогда как графические процессоры (GPU, или видеокарты) прибавляли в энергопотреблении, но умеренными темпами. Однако сегодняшние топовые модели чипов всех видов и марок требуют очень много энергии. В этой статье мы заглянем за радиаторы кулеров и посмотрим, что на самом деле стоит за характеристиками мощности чипов и какие физические процессы в них происходят.
Зачем чипам нужна энергия и почему они нагреваются
Чипы CPU и GPU относятся к разряду сверхбольших интегральных схем (СБИС): они содержат огромное количество транзисторов, резисторов и других электронных элементов уже наноскопических размеров.
Чтобы эти микросхемы работали и выполняли задачи, для которых они предназначены, им нужно электричество. Арифметико-логические устройства (АЛУ) в схеме процессора осуществляют математические операции путем переключения множества транзисторов, изменяющих напряжение в какой-либо части схемы.
В современных процессорах используются ребристые полевые транзисторы FinFET (Fin Field-Effect Transistor). Такой транзистор можно представить как мост между двумя островами, где приложение малого напряжения открывает путь току из одного места в другое.
Очевидно, что для протекания тока через острова и мост необходима электрическая энергия – без этого чип просто не сможет выполнять никакие операции. Но почему он еще и нагревается?
К сожалению, все эти элементы обладают электрическим сопротивлением по отношению к протекающему через них току. Оно очень маленькое, но с учетом того, что общее количество транзисторов в CPU и GPU исчисляется миллиардами, суммарный тепловой эффект оказывается весьма ощутимым.
Три миллиарда транзисторов на кончике пальца.
Внутреннее сопротивление типовой микросхемы CPU может составлять всего лишь чуть больше десяти миллиом, но при протекании через нее тока 80 A и более на этом сопротивлении выделяется тепло, эквивалентное более чем 90 джоулям в секунду (или ваттам, Вт).
Это тепло передается в материалы, из которых сделан чип, поэтому любой процессор во время работы нагревается. Большим чипам требуется активное охлаждение, чтобы они не нагревались до слишком высоких температур, то есть все это тепло нужно отводить куда-то в другое место.
На количество рассеиваемого тепла влияют и другие факторы, такие как токи утечки, но если процессор так или иначе ‘теряет’ энергию (в виде тепла), он должен непрерывно ее ‘потреблять’, чтобы продолжать функционировать.
Другими словами, та мощность, которую процессор выделяет в виде тепла, практически равна мощности, указываемой в его спецификациях («рейтингу мощности» или энергопотреблению чипа). Теперь давайте посмотрим, как менялись энергетические запросы центральных процессоров для ПК с течением времени.
Что скрывается за номинальными характеристиками мощности CPU
Уже многие годы, по традиции, производители чипов CPU заявляют об энергопотреблении своих процессоров в форме простой характеристики – расчетной тепловой мощности микросхемы (Thermal Design Power, TDP). К сожалению, в ходе эволюции чипов определение этого показателя тоже претерпело ряд изменений.
Другими словами, если процессор Intel, имеет, например, базовую частоту 3.4 ГГц и максимально допустимую температуру 95 °C, то его рейтинг мощности равен мощности TDP, которую этот чип выделяет в стационарном режиме работы с этими граничными характеристиками.
Давайте посмотрим на TDP процессоров, выходивших в течение последних 17 лет. Мы здесь взяли самые мощные настольные чипы этого периода пользовательского класса, не рассматривая процессоры для рабочих станций и т.п.
Не считая нескольких отдельных случаев, например, AMD FX-9590 2013 года выпуска (с TDP 220 Вт!), вроде бы можно сказать, что все это время CPU выдерживают достаточно стабильный уровень энергопотребления.
На этом графике нет никаких признаков роста энергопотребления процессоров, что, безусловно, хорошо. И вполне объяснимо в свете непрерывного совершенствования технологий полупроводникового производства и оптимизации интегральных микросхем.
Единственная проблема заключается в том, что почти каждый процессор, выходящий на рынок, может работать с намного более высокими тактовыми частотами, чем базовая. Вышеупомянутый FX-9590 имеет базовую частоту 4.7 ГГц, но при этом может ускориться до 5.0 ГГц. Что происходит в этой ситуации?
Напрашивается простой ответ: процессор будет рассеивать большую тепловую мощность и потреблять больший ток от материнской платы. К сожалению, все это не так просто и зависит от настроек BIOS.
И Intel, и AMD оснащают свои чипы рядом опций, каждая из которых может быть как активной, так и неактивной (в зависимости от того, поддерживается ли она в BIOS), но в совокупности это обычно позволяет процессору управлять собственной частотой и мощностью.
У Intel, в частности, основная технология в этой области называется Turbo Boost: она подстраивает частоту и мощность процессора под определенную нагрузку на определенное время.
Процессоры Intel имеют два основных лимита мощности, PL1 (он же TDP) и PL2, хотя на самом деле лимитов мощности больше.
Обратите внимание, что оранжевая кривая мощности может кратковременно выходить на значительно более высокие уровни, чем PL1, и стабильно держаться на уровне PL2 в течение некоторого отрезка времени. Здесь процессор работает на более высокой частоте, чем базовая, но не обязательно на максимальной.
Поскольку Intel по умолчанию отключает опции выхода на уровни PL3 и PL4, можно считать, что максимальное энергопотребление процессора фактически определяется уровнем PL2 – процессор может работать в этом режиме как несколько секунд, так и сколь угодно долго (в зависимости от настроек BIOS).
Но насколько уровень PL2 выше, чем PL1? Эта разница варьируется в каждой новой модели CPU, но давайте просто возьмем примеры нескольких последних лет из нашего рейтинга TDP.
Семь лет назад, когда вышел Core i7-8700K, разница между PL2 and PL1 конкретно у этого процессора составляла всего 30 Вт, но начиная с 10-го поколения мы видим разницу в 100 Вт и более – в некоторых примерах PL2 фактически удваивает номинальное энергопотребление процессора.
AMD использует другие спецификации мощности и определения, но и их процессоры тоже могут потреблять и рассеивать существенно большую мощность, чем номинальный лимит TDP.
У AMD верхний лимит называется PPT (Package Power Tracking) – это максимальная мощность, которую процессор может рассеивать под любой заданной нагрузкой. Для всех настольных процессоров Ryzen с TDP 95 Вт и более значение PPT рассчитывается по формуле 1.34 x TDP.
Итак, на сегодняшний день очевидно следующее: топовые процессоры за последние несколько лет увеличили свои максимальные показатели энергопотребления, хотя номинальные значения TDP при этом оставались примерно на одном и том же уровне.
Производители материнских плат усугубляют эту ситуацию, устанавливая в BIOS свои диапазоны настроек, перекрывающие стандартные лимиты мощности и временные интервалы, определенные Intel по умолчанию. Другими словами, если на одной плате процессор может потреблять и рассеивать максимум 120 Вт, то на другой – 200 Вт.
Но здесь нужно отметить, что все вышесказанное относится к топовым процессорам, которые выпускаются с самыми высокими доступными тактовыми частотами и максимальным числом активных ядер.
Лимиты мощности процессоров средней и бюджетной категорий, к счастью, изменились очень мало, просто потому, что у этих процессоров меньше ядер.
В начальном сегменте рынка настольных процессоров мы находим популярную модель Intel Core i3-12100F с TDP 58 Вт (и лимитом PL2 89 Вт), а также AMD Ryzen 3 4100 с TDP 65 Вт – это практически тот же уровень энергопотребления, на котором продукты этих линеек были всегда.
Однако новейший процессор AMD средней категории Ryzen 7600X имеет TDP 105 Вт – на 40 Вт больше, чем его непосредственный предшественник, 5600X. И Intel Core i5-12600K тоже имеет TDP чипа класса high-end: 125 Вт.
Все это указывает на то, что общая кривая энергопотребления неуклонно ползет вверх – в первую очередь этот тренд относится к топовым процессорам, но уже не только к ним. Если вы хотите приобрести CPU с наибольшим количеством ядер и самыми высокими тактовыми частотами, готовьтесь к тому, что этому процессору потребуется значительно больше энергии.
И, к сожалению, даже тем, кто собирается обновить процессор до новейшей опции средней ценовой категории, возможно, придется согласиться на заметно большее энергопотребление.
Встречайте прожорливых бегемотов: GPU
Если центральный процессор в части потребляемой мощности ведет себя еще более-менее по-джентльменски, даже с учетом последних темпов роста максимальных лимитов мощности, то другой чип в настольном компьютере с каждым новым поколением становится не в пример больше и прожорливее. Речь идет о графическом процессоре (GPU) дискретной видеокарты, который представляет собой самую большую и сложную полупроводниковую микросхему из всех, с которыми большинство людей имеет дело в повседневной практике, – это касается и количества транзисторов, и размеров кристалла, и вычислительного потенциала графического чипа.
Качество и реалистичность графики в компьютерных играх сегодня такие, о которых 17 лет назад можно было только мечтать, но все эти многоугольники, текстуры и пиксели стоят таких энергетических затрат, по сравнению с которыми энергопотребление чипов CPU выглядит чем-то несерьезным.
Мы построили для видеокарт такие же эволюционные графики, как и для процессоров, выбрав на каждый год выпуска самые мощные модели пользовательского класса от ведущих производителей.
И мы видим, что если процессор AMD Ryzen 9 7950X сегодня может потреблять и рассеивать максимум 230 Вт, то для видеокарт класса high-end это уровень почти 15-летней давности.
Видно также, что темпы роста энергопотребления самых мощных видеокарт в целом демонстрируют слабую тенденцию к снижению, поскольку тренды обоих производителей аппроксимируются неубывающими функциями, хотя корреляция здесь тоже слабая.
А с выходом видеокарты Nvidia GeForce RTX 4090 на базе чипа с 76 млрд транзисторов и TDP 450 Вт планка поднялась еще выше.
Что, производителей видеокарт вопрос энергопотребления вообще не беспокоит?
На графике выше показана зависимость TDP видеокарт от плотности транзисторов, которая определяется количеством транзисторов, умещающихся на каждом квадратном миллиметре микросхемы GPU.
Плотность транзисторов взята в логарифмическом масштабе, поскольку в последние годы она возрастает колоссальными темпами – в линейном масштабе данные отображались бы слишком скученно.
Видно, что в микросхемах GPU содержится все больше нанопереключателей и их энергопотребление неуклонно растет – хотя и не с постоянной скоростью (тренд AMD выглядит как линейная функция, но не забывайте, что это логарифмический масштаб).
Оба тренда возрастают нелинейно, но темпы роста с каждым годом замедляются. Эта связь между плотностью транзисторов и TDP чипа объясняется тем, что новые чипы выпускаются на базе усовершенствованных техпроцессов. Под этим термином обычно подразумевают технологический метод серийного производства полупроводниковых кристаллов и микросхем. Каждый новый техпроцесс обеспечивает ряд преимуществ по сравнению с предыдущим: более высокая плотность, меньшее энергопотребление, большая производительность и т.д.
Новые техпроцессы позволяют «втиснуть» в GPU миллиарды транзисторов.
Не все из этих усовершенствований могут быть применены одновременно, но в случае графических процессоров это позволяет производителям создавать потрясающие чипы с исключительными вычислительными возможностями и все-таки приемлемым энергопотреблением.
Например, если бы графические чипы Navi 21 изготавливались на базе того же техпроцесса, что и R520, их энергопотребление ушло бы в район киловатт. Так что, даже если текущие уровни энергопотребления выглядят довольно высокими, все могло бы быть еще хуже.
Также, кроме удержания энергопотребления в рамках адекватности, новые техпроцессы и графические архитектуры несут с собой и другие преимущества.
Вычислительная мощность, приходящаяся на единицу потребляемой электрической или выделяемой тепловой мощности, во всех топовых моделях GPU непрерывно возрастает, и темпы этого роста не перестают удивлять, с тех самых пор, как появились первые графические схемы с унифицированными шейдерами (2006 г.).
Из сопоставления приведенных выше графиков видно, что если показатели TDP с 2006 года выросли на 102%, то соответствующие показатели вычислительной мощности FP32 (гигафлопс/ватт) выросли на 5700%.
Хотя вычислительная мощность FP32 не является определяющей характеристикой видеокарты, это один из наиболее важных показателей для гейминга и 3D-графики. Сегодня мы имеем игры с потрясающей графикой и поддержкой суперпродвинутых технологий, потому что лучшие видеокарты с большими и сложными GPU в состоянии все это обеспечить.
Но даже при том, что современные графические процессоры усовершенствовались как никогда ранее и уровни их энергопотребления не так высоки, как могло бы быть, в целом энергопотребление все-таки растет. Даже ультрабюджетные видеокарты, которые обычно потребляли 30 Вт и менее, за последние несколько лет значительно увеличили свои номинальные TDP.
Если кто-то захочет купить видеокарту Nvidia, питающуюся только от одного слота PCI Express, то вся линейка Ampere фактически проходит мимо. Карта GeForce RTX 3050 имеет TDP 100 Вт, а поскольку вышеупомянутый слот рассчитан максимум на 75 Вт, для подключения этой карты потребуется дополнительный коннектор питания.
Карты этой категории, как и их намного более мощные собратья, тоже обладают более высоким вычислительным потенциалом, чем ранее, но у тех, кто собирает компьютеры с минимальным энергопотреблением, становится все меньше опций для выбора, когда речь идет о видеокартах.
И нет никаких предпосылок для того, чтобы хотя бы темпы роста энергетических запросов графического сегмента начали снижаться, не говоря уже о снижении собственно потребляемой мощности. Например, новейшую кампанию Intel по завоеванию рынка дискретной графики силами серии Arc в настоящее время возглавляет карта A770.
Эта карта может похвастаться графическим чипом с 21.4 млрд транзисторов, 16 гигабайтами памяти GDDR6 и TDP 225 Вт. Хотя она ориентирована на средний ценовой сектор, по уровню энергопотребления она соответствует мощнейшим чипам AMD и Nvidia четырехлетней давности.
Карты средней категории GeForce и Radeon немного экономичнее: RTX 3060 потребляет 170 Вт, RX 6600 XT – 160 Вт, но рост энергопотребления наблюдается во всех категориях, и гораздо более существенный, чем в сегменте CPU.
Если бы не параллельное совершенствование полупроводниковых технологий, показатели энергопотребления были бы намного выше, это очевидно, но основной вопрос здесь следующий – не потребляют ли современные CPU и GPU слишком много энергии для того полезного выхода, который они предлагают.
Слишком много – это сколько?
С ростом энергопотребления процессоров и видеокарт связаны две основные проблемы: увеличение, во-первых, счета за электричество, во-вторых – тепловыделения компьютера. Начнем с первого.
Возьмем для примера продвинутый игровой компьютер, укомплектованный самыми высококлассными компонентами, которые вы можете себе позволить по деньгам: допустим, у вас стоит процессор AMD Ryzen 9 5950X и видеокарта Nvidia GeForce RTX 3090 Ti с небольшим разгоном.
Конечно, компьютер включает в себя и другие компоненты (как минимум, материнскую плату, некоторое количество оперативной памяти и накопитель), но мы здесь не будем их рассматривать, поскольку все эти компоненты в совокупности потребляют намного меньшую мощность, чем процессор или видеокарта. Итак, какую мощность потребляет такой компьютер в разгар какой-нибудь динамичной игры с современной 3D-графикой? Как вам показатели в районе 670-700 Вт?
Теперь представьте, что вы используете компьютер в таком режиме по 2 часа ежедневно в течение года. За это время ваш компьютер наработает примерно на 500 киловатт-часов (0.7 кВт x 2 ч x 365 дней в году) – это эквивалентно энергии, которую потребил бы 1.5-киловаттный электрический чайник, работая непрерывно в течение почти двух недель.
В зависимости от региона вашего проживания и установленных в нем тарифов на электричество использование компьютера в таком режиме может обойтись вам где-то от $70 до $280 в год (не считая дополнительных налогов и сборов).
Но по сравнению со стоимостью самого компьютера, которая может составлять несколько тысяч долларов, это сравнительно немного. Взяв большее значение потребляемой мощности, получим, что в части электричества час гейминга на нашем ПК обходится всего в 38 центов.
Новая видеокарта Nvidia GeForce RTX 4090 с TDP 450 Вт.
Теперь рассмотрим самый неблагоприятный с энергетической точки зрения сценарий, когда в компьютере используется самая «прожорливая» на сегодняшний день комбинация CPU и GPU: процессор Intel Core i9-13900K и видеокарта, показанная на рисунке выше. Если оба эти компонента будут работать на своих максимальных заводских лимитах мощности, час игры в Doom с разрешением и настройками из предыдущего примера будет стоить около 50 центов – не очень много.
Вы можете возразить, что 50 центов за час гейминга – это все-таки многовато, и миллионы пользователей во всем мире с вами согласятся. Но вряд ли они играют на таких компьютерах.
Игровые консоли более популярны, чем игровые ПК, если судить по количеству экземпляров, отгружаемых ежегодно, и они содержат намного менее мощное «железо», чем в вышеприведенных примерах. Но и энергетические запросы у них скромнее: устройство типа Microsoft Xbox серии X во время активного геймплея потребляет всего 153 Вт.
Даже если вы подключите консоль к большому OLED-телевизору, который увеличит общее энергопотребление еще на 100 Вт, в совокупности эти два устройства все равно будут потреблять на 44% меньшую мощность, чем одна видеокарта GeForce RTX 4090. Поэтому, если стоимость электроэнергии представляет для вас реальную проблему, консоли могут стать хорошей альтернативой игровым ПК.
Конечно, даже для гейминга необязательно использовать новейшие и/или самые мощные компьютерные компоненты. Многие старшие и менее высококлассные модели потребляют умеренную мощность и при этом предлагают довольно приличную производительность.
Подержанные видеокарты Radeon RX 5700 XT, GeForce RTX 2060 Super или даже GeForce GTX 1080 Ti еще вполне работоспособны, и все три имеют TDP 250 Вт или меньше.
В общем, объявлять рост энергопотребления проблемой только на основании стоимости электричества – несколько поверхностно: слишком много зависит от региональных тарифов, игровых стилей, настроек и т.д., чтобы можно было дать однозначное заключение на этот счет.
Но как обстоят дела с нагревом компонентов?
Как уже отмечалось в начале статьи, каждый потребляемый джоуль электроэнергии практически полностью переводится в тепло, рассеиваемое в окружающем пространстве благодаря процессам конвекции.
Все электрические приборы и устройства выделяют тепло.
Компьютер общей мощностью 900 Вт теоретически может нагреть 28 кубометров окружающего воздуха с 20 до 40 градусов Цельсия всего за 17 минут. Это, конечно, верно только для случая идеальной теплопередачи и полной изоляции указанного объема, без возможности перемещения нагретого воздуха за его пределы.
Но, хотя в реальности нагрев происходит не так быстро, все выделяемое компьютером тепло в конце концов передается окружающей среде, с большей или меньшей скоростью.
Вентиляторы системы охлаждения, независимо от их производительности, ничего не меняют в этой ситуации – они просто способствуют отводу тепла непосредственно от компонентов ПК. Единственный способ охладить помещение – это обеспечить выход нагретого воздуха куда-нибудь в другое место и/или приток холодного воздуха извне – например, открыть окно.
Если вы собираетесь потратить деньги на самые мощные процессор и видеокарту, какие только позволит ваш бюджет, готовьтесь к тому, что эти компоненты будут заметно подогревать вашу игровую комнату.
Но, как и в случае счетов за электричество, это вопрос достаточно индивидуальный – для кого-то 900 Вт могут стать проблемой, а кто-то в такой обстановке будет чувствовать себя вполне комфортно.
Потребности большинства перевешивают
Итак, может показаться, что проблемы стоимости электроэнергии и подогрева окружающей среды носят преимущественно индивидуальный характер, однако в масштабах всего мира возрастает их общая значимость.
В мире используются миллионы компьютеров, и хотя область применения чипов мощностью 250 Вт и более относительно невелика, в будущем на смену всем этим машинам придут компьютеры с более «прожорливыми» компонентами, чем те, которые мы имеем сегодня.
Чтобы лучше представлять себе общую ситуацию, обратите внимание, что за один и тот же отчетный период в мире было продано 17 миллионов консолей Xbox серии X и 50 миллионов консолей Xbox One. Первые потребляют примерно на 90 Вт больше, чем вторые.
Если предположить, что все старшие устройства (Xbox One) в перспективе будут заменены более новыми (Xbox серии X), то суммарное энергопотребление и, соответственно, тепловыделение игровых консолей увеличится на 3 гигаватта (ГВт). Конечно, все эти машины не будут работать одновременно, но дополнительную мощность будут потреблять не только эти консоли.
Новыми процессорами оснащаются ноутбуки, настольные ПК, рабочие станции, серверы, и весь этот парк увеличит свое энергопотребление – на единицы или сотни ватт. Что, в свою очередь, означает, что энергетическая отрасль рано или поздно столкнется с такими высокими требованиями, которые она не в состоянии будет удовлетворить.
Это произойдет в любом случае, поскольку население и экономика растут – рост энергопотребления полупроводниковых устройств просто является одной из составляющих этой проблемы.
Даже с учетом того, что на рынке ПК за последние годы наметился небольшой спад, другие сегменты, такие как «интернет вещей» (Internet of Things, IoT), области применения искусственного интеллекта (ИИ) и аналитика больших данных, напротив, демонстрируют бодрые темпы роста.
В сегментах ИИ и дата-аналитики широко используются высокопроизводительные графические ускорители вычислений (корпоративные GPU), и если новые компоненты этого класса не покажут тенденцию к более умеренному энергопотреблению, эти отрасли еще более приблизят энергетическую ситуацию к критической.
По оценкам некоторых экспертов, к 2050 году мировое потребление электроэнергии вырастет в три раза по сравнению с текущим, ежегодно увеличиваясь на 3-4%. Хотя неизвестно, учитывался ли в этих прогнозах рост энергопотребления процессоров.
Мировое производство электроэнергии за период с 2005 по 2021 гг. выросло с 18 до 28 петаватт (1 ПВт = 1000000 ГВт), то есть на 56% за 16 лет. И этот рост целиком и полностью обусловлен растущими энергетическими потребностями. Рост энергопотребления полупроводниковых компонентов здесь является просто весомым дополнительным слагаемым в перспективе ближайших десятилетий.
Можно ли с этим что-то сделать?
На каждом отдельно взятом компьютере обычно доступно множество опций, которые можно попробовать применить, чтобы снизить энергопотребление наиболее требовательных в этом аспекте компонентов ПК. Применительно к процессорам большинство материнских плат предлагает различные опции управления питанием CPU, включение которых в BIOS позволяет снизить энергопотребление процессора в режиме без нагрузки.
В 1996 году появился стандарт ACPI (Advanced Configuration and Power Interface, усовершенствованный интерфейс управления конфигурацией и питанием), который с тех пор регулярно обновляется. В настоящее время ACPI поддерживают все пользовательские процессоры, и с точки зрения энергопотребления наибольшее значение в нем имеют две группы состояний: состояния производительности (P-состояния) и состояния процессора (C-состояния).
Первые определяют доступные уровни производительности (от максимального до минимального), и, когда в BIOS включена одна из этих опций (не максимальная), чип CPU в целях энергосбережения работает с меньшей тактовой частотой и напряжением. C-состояния со своей стороны определяют, что может делать процессор в режиме пониженного энергопотребления (например, держать в кэше оперативные данные или полностью очищать и отключать кэш).
Для процессоров AMD, начиная с 3000-й серии Ryzen, в приложении Ryzen Master доступна опция Eco Mode, которая переводит процессор в режим значительно меньшей мощности, чем номинал TDP, независимо от того, какая опция ACPI при этом включена.
Что касается влияния режима пониженного энергопотребления на производительность, то оно может быть на удивление незначительным, в зависимости от конкретной системной конфигурации и типовых единиц измерения производительности (например, fps).
Пользователи процессоров Intel могут добиться аналогичного эффекта, зайдя в настройки BIOS и открыв раздел Internal CPU Power Management (доступен не для всех моделей CPU).
В этом разделе можно вручную понизить установленные по умолчанию значения PL1 и PL2, хотя в BIOS различных материнских плат эти лимиты мощности могут обозначаться по-разному. Например, на платах Asus лимиты PL1/ PL2 называются соответственно Long/ Short Package Duration Limit.
Аналогичным образом можно настроить и видеокарту, например, через приложение MSI Afterburner. Это приложение позволяет регулировать доступный лимит мощности видеокарты путем установки нужного уровня в процентах от максимального.
Например, максимальный (100%) лимит мощности видеокарты Nvidia RTX 2080 Super составляет 250 Вт. Понизив его до 70%, можно ограничить энергопотребление видеокарты уровнем 175 Вт. Конечно, производительность карты при этом тоже понизится, но, как и в случае включения опции Ryzen Eco Mode, не настолько, как можно было бы подумать.
Аналогичных результатов можно добиться, понизив напряжение ядра GPU, что обычно подразумевает также снижение тактовой частоты. В качестве альтернативного решения можно применить опцию ограничения частоты кадров в самой игре (если таковая предлагается), что тоже приведет к снижению фактического энергопотребления.
Однако самый простой, наглядный и надежный способ – это регулировка лимита мощности с помощью обычного слайдера программной настройки.
Мы провели блиц-тестирование различных задаваемых в настройках уровней лимита мощности GPU на примере игры Shadow of the Tomb Raider с вышеупомянутой видеокартой (RTX 2080 Super) и процессором Intel Core i7-9700K. Игровое разрешение – 4K, профиль детализации – максимальный, DLSS – включено в режиме приоритета качества изображения (Quality), рейтрейсинг – выключен.
Как ни странно, снижение доступного лимита мощности вдвое (на 50%) привело к снижению средней частоты кадров всего на 10% (в выборке худших результатов частота кадров упала менее чем на 5%), но здесь также нужно отметить, что эта игра относится к CPU-зависимым.
Использование DLSS, безусловно, помогло, улучшить результаты, поскольку рендеринг осуществлялся на гораздо более низком разрешении, чем 4K, но скорость рендеринга все равно была максимально высокой, то есть графический процессор, так или иначе, выбирал весь доступный лимит мощности.
Понятно, что аналогичные результаты, получаемые в различных играх на разных аппаратных конфигурациях, будут различаться, но вот еще два примера: в Red Dead Redemption 2 (разрешение 1440p, максимальные настройки детализации) снижение лимита мощности на 50% привело к снижению средней частоты кадров на 15%, а в Far Cry 6 – всего на 7%.
Напрашивается простой вопрос – зачем производители «железа» устанавливают такие высокие лимиты мощности, если, по всей видимости, без этого вполне можно обойтись?
Наиболее вероятная причина – маркетинговый статус продукта. И AMD, и Intel, и Nvidia хотят максимально подчеркнуть характеристики производительности своих моделей, особенно топовых.
Эти продукты позиционируются как лучшее из того, что вы можете купить: чипы проходят специальную сортировку (биннинг), в результате чего отбираются экземпляры, способные работать на максимальных расчетных тактовых частотах – при достаточном энергообеспечении.
Но это приводит к ситуациям наподобие той, которая получилась с картами GeForce RTX 3090 Ti и просто 3090: у первой TDP на 100 Вт (или на 29%) выше, чем у второй, но, как показывают результаты тестов, в играх – даже на разрешении 4K – более мощная карта обеспечивает прибавку к скорости всего лишь около 10%.
Поскольку все ведущие производители хотят продавать максимум работоспособных кристаллов – под тем или иным наименованием, модели чипов из разряда «на несколько процентов быстрее» никуда не денутся, но при этом разработчики могут, по крайней мере, снизить заводские лимиты мощности выпускаемых электронных компонентов.
Производителям железа нужно повышать энергетическую эффективность чипов эффективнее
Такие фирмы, как AMD, активно продвигают свои продукты в аспекте «энергетической эффективности» (производительность на ватт потребляемой мощности), которая часто входит в число ключевых маркетинговых пунктов. Например, графическая архитектура AMD следующего поколения, RDNA 3, обещает заметный прогресс в этой области. Однако это не означает, что видеокарты Radeon RX 7000-й серии вдруг резко снизят свои характеристики TDP.
Выпуская поколение RDNA 2, AMD подчеркивала, что эти карты имеют на 65% большую энергетическую эффективность по сравнению с предыдущей архитектурой. Тем не менее, TDP карты RX 6800 составляет 300 Вт.
Тесты подтверждают заявленные AMD показатели энергетической эффективности – производительность, приходящаяся на ватт мощности, действительно стала намного больше – но это не отменяет того факта, что более быстрый рендеринг требует дополнительных энергетических затрат.
И здесь можно заметить, что производителям было бы намного проще снизить энергетические требования для своих продуктов, установив, например, режим вроде Eco Mode по умолчанию.
Производители могут ответить, что они к этому уже готовы, и привести в пример различные скоростные режимы работы чипов (как то – Turbo Mode, Boost Clock, Gaming Clock) и значительное снижение напряжений в режиме без нагрузки.
Но когда Intel выпускала свои настольные процессоры 12-го поколения Core, пресс-релиз был насыщен перечислениями всевозможных показателей производительности, но только в одном разделе компания рискнула упомянуть о потребляемой мощности.
Новая гибридная схема CPU, сочетающая в одном кристалле две разные архитектуры, была очевидно прогрессивной по отношению к аналогам 11-го поколения. Как видно из вышеприведенного слайда, в Intel могли бы установить для 12-го поколения TDP 95 Вт и PL2 125 Вт – производительность при этом все равно была бы выше, чем в предыдущем поколении.
Вместо этого они оставили предыдущие лимиты мощности и только «скостили» порядка 10 Вт со значения PL2. И все это ради того, чтобы получить продукт, который в определенных тестах будет опережать конкурирующие аналоги на какие-то несколько процентов.
Конечно, вы не обязаны покупать эти чипы, но когда придет время для апгрейда или просто покупки нового компьютера или консоли, вам, скорей всего, придется согласиться на эти предложения, которые потребляют как самолет, а прибавку к скорости имеют как у паровоза. Потому что более старые модели уже будут сняты с производства.
И хотя отрегулировать лимиты мощности CPU и GPU сравнительно легко, это не совсем то, чем должен заниматься конечный пользователь.
Люди в целом пересматривают свои перспективы в части производства и потребления энергии и влияния этих аспектов на мировую экономику и экологию. Хотя все заголовки оккупируют топовые продукты со своими гигантскими энергетическими запросами, реальное значение имеет устойчивый рост энергопотребления во всем полупроводниковом сегменте.
На это можно возразить, что очень многие производители полупроводниковой продукции придерживаются «классической» установки, идущей вразрез с современными тенденциями, а именно – получить максимально возможную производительность и обойти конкурентов любой ценой.
Тем не менее, свет в конце тоннеля все-таки заметен. Apple, например, почти целиком перевела свои линейки Mac и MacBook на собственные процессоры M1/M2. Эти комбинированные процессоры, включающие в себя CPU- и GPU-компоненты, были разработаны в расчете на максимально возможную энергетическую эффективность и по производительности соответствуют уровню процессоров x86, предлагаемых AMD и Intel, потребляя при этом существенно меньшую мощность (за исключением гейминга).
Серверы и рабочие станции пока оснащаются в основном процессорами Intel Xeon и AMD Epyc, но энергетически эффективная архитектура Arm, взятая на вооружение Apple, постепенно проникает и в этот сегмент. Крупные облачные провайдеры уже начинают использовать серверы на процессорах Ampere Altra.
Изменения происходят – медленно, со скрипом, но происходят. Возможно, пройдет много лет, прежде чем мы увидим новые процессоры с меньшими энергетическими запросами, чем у их предшественников, но отрасль все-таки двигается к этой цели.
А пока, на уровне отдельных пользователей, у нас есть простой выбор: принимать энергетические требования новейших аппаратных компонентов и использовать их как есть (с заводскими настройками или пользуясь опциями регулировки лимитов мощности), или же посоветоваться со своим кошельком и сообщить производителям компьютерного железа, что платить за сотни ватт потребляемой процессорами мощности нам не по карману.
ВСЕ ОБ ОХЛАЖДЕНИИ КОМПЬЮТЕРА
Лето стремительно вступило в свои права; столбик термометра ползет вверх, и все чаще приходится задумываться о том, как обеспечить комфортную температуру. Поверьте: для компьютеров проблема борьбы с жарой не менее актуальна, чем для их пользователей. Даже если условия в помещении вполне нормальные (20 — 22°С), температура в системном блоке достигает 30–32°С. И это в лучшем случае. Чем жарче на улице и в квартирах, тем острее вопрос защиты от перегрева и тем пристальнее внимание к системам охлаждения системного блока и его компонентов.
Чтобы грамотно решить проблему, необходимо хотя бы в общих чертах представлять, зачем вообще нужны компьютерам системы охлаждения, почему системные блоки перегреваются и как обезопасить «вычислительного друга» от теплового удара. В этой статье вы не найдете длинного перечня моделей кулеров, но, прочитав ее, сами сможете выбрать подходящие компоненты системы охлаждения ПК и грамотно подойти к выбору нового корпуса, а так же подобрать термопасту.
Почему он греется
Причина тривиальна: как любой электроприбор, компьютер рассеивает часть (порой весьма значительную) потребляемой электроэнергии в виде тепла – например, процессор переводит в тепло почти всю использованную энергию. Чем больше ее нужно системному блоку, тем сильнее нагреваются его компоненты. Если тепло вовремя не отводить, это может привести к самым неприятным результатам (см. «Последствия перегрева»). Особенно актуальна проблема теплоотведения и охлаждения для современных моделей процессоров (как центральных, так и графических), устанавливающих все новые рекорды производительности (а нередко и тепловыделения).
Каждый компонент ПК, рассеивающий много тепла, оснащается охлаждающим устройством. Как правило, в таких устройствах присутствуют металлический радиатор и вентилятор – именно из этих компонентов состоит типичный кулер. Важен также термоинтерфейс между ним и нагревающимся компонентом – обычно это термопаста (смесь веществ с хорошей теплопроводностью), обеспечивающая эффективную передачу тепла к радиатору кулера.
Прогресс в области систем охлаждения, благодаря которому появились такие технологические новинки, как термотрубки, обеспечил создателям компонентов для персональных компьютеров новые возможности, позволив отказаться от шумных кулеров. Некоторые компьютеры оснащаются водяными системами охлаждения – они имеют свои достоинства и недостатки. Обо всем этом рассказывается далее.
Рост тепловыделения ПК
Главная причина, по которой компьютеры выделяют все больше и больше тепла, состоит в том, что повышается их вычислительная мощность. Наиболее существенны следующие факторы:
- рост тактовых частот процессора, чипсета, шины памяти и прочих шин;
- рост числа транзисторов и ячеек памяти в чипах ПК;
- увеличение мощности, потребляемой узлами ПК.
Чем мощнее компьютер, тем больше электричества он «съедает» – следовательно, неизбежен рост тепловыделения. Несмотря на применение изощренных технологических процессов при производстве чипов, их потребляемая мощность все равно растет, увеличивая количество тепла, рассеиваемого в корпусе ПК. Кроме того, возрастает площадь плат видеокарт (например, изза того, что необходимо разместить больше микросхем памяти). Результат – рост аэродинамического сопротивления корпуса: громоздкая плата просто перекрывает доступ охлаждающего воздуха к процессору и блоку питания. Особенно актуальна эта проблема для ПК в маленьких корпусах, где расстояние между видеокартой и «корзиной» для HDD составляет 2–3 см, – а ведь в этом пространстве еще проложены шлейфы приводов и прочие кабели… Микросхемы оперативной памяти тоже становятся все «прожорливее», а современные ОС требуют все большего ОЗУ. Например, в Windows 7 для него рекомендуется 4 Гб – таким образом, рассеивается несколько десятков ватт тепла, что дополнительно усугубляет ситуацию с тепловыделением. Микросхема системной логики на материнской плате тоже является весьма «горячим» компонентом.
УЯЗВИМОСТЬ ЖЕСТКИХ ДИСКОВ
Внутри корпуса жесткого диска над поверхностью вращающихся пластин скользят подвижные магнитные головки, управляемые высокоточной механикой. Они осуществляют запись и чтение данных. При нагревании материалы, из которых сделаны компоненты диска, расширяются. В рабочем диапазоне температур механика и электроника вполне справляются с тепловым расширением. Однако при перегреве оно превышает допустимые пределы, и головки жесткого диска могут «промахиваться», записывая данные не там, где нужно, пока компьютер не будет выключен. А когда его снова включат, остывший жесткий диск не сможет найти данные, записанные в перегретом состоянии. В подобном случае информацию удается спасти только при помощи сложного и дорогого спецоборудования. Если температура превышает 45°С, для охлаждения жесткого диска рекомендуется установить дополнительный вентилятор.
Налицо парадокс: тепловая нагрузка в современных корпусах растет высокими темпами, а их конструкция почти не меняется: производители берут за основу рекомендованный Intel дизайн почти 10летней давности. Модели, приспособленные к интенсивному тепловыделению, встречаются нечасто, а малошумные – и того реже.
Последствия перегрева
При избытке тепла компьютер в лучшем случае начнет тормозить и зависать, а в худшем – один или несколько компонентов выйдут из строя. Высокие температуры очень вредны для «здоровья» элементной базы (микросхем, конденсаторов и пр.), особенно для жесткого диска, перегрев которого чреват потерей данных.
ПРИМЕРНЫЕ ПАРАМЕТРЫ ТЕПЛОВЫДЕЛЕНИЯ
Примерные параметры тепловыделения компонентов среднестатистического системного блока компьютера (при высокой вычислительной нагрузке). Основными источниками тепла являются материнская плата, центральный процессор и графический процессор видеокарты (на их долю приходится более половины рассеиваемого тепла).
Емкость современных HDD позволяет хранить на них обширные коллекции музыки и видео, рабочие документы, цифровые фотоальбомы, игры и многое другое. Диски становятся все компактнее и быстрее, но за это приходится расплачиваться большей плотностью записи данных, хрупкостью конструкции, а значит, и уязвимостью начинки. Допуски при производстве емких накопителей измеряются микронами, так что малейший «шаг в сторону» выводит диск из строя. Потому HDD столь чувствительны к внешним воздействиям. Если диску приходится работать в неоптимальных условиях (например, с перегревом), вероятность потери записанных данных резко возрастает.
Охлаждение ПК: азы
Если температура воздуха в системном блоке держится на уровне 36°С или выше, а температура процессора – более 60°С (либо жесткий диск постоянно нагревается до 45°С), пора принимать меры по улучшению охлаждения.
Но прежде чем бежать в магазин за новым кулером, примите во внимание несколько моментов. Не исключено, что проблему перегрева можно решить более простым способом. Например, системный блок должен располагаться так, чтобы имелся свободный доступ воздуха ко всем вентиляционным отверстиям. Расстояние, на которое его тыльная часть отстоит от стены или мебели, должно быть не меньше, чем два диаметра вытяжного вентилятора. Иначе возрастает сопротивление оттоку воздуха, а главное – нагретый воздух дольше остается рядом с вентиляционными отверстиями, так что значительная его часть вновь попадает в системный блок. Если он установлен неправильно, от перегрева не спасет даже самый мощный кулер (эффективность работы которого определяется разностью между его температурой и температурой охлаждающего радиатор воздуха).
КУЛЕР, ОСНОВАННЫЙ НА ЭФФЕКТЕ ПЕЛЬТЬЕ
Одна из новейших моделей, в которой использован эффект Пельтье. Обычно в таких кулерах представлен полный набор последних технологических достижений: ТЭМ, термотрубки, вентиляторы с продвинутой аэродинамикой и эффектный дизайн. Результат впечатляющий; хватило бы места в системном блоке…
Максимально эффективное охлаждение достигается при равенстве температур воздуха в системном блоке и в помещении, где он находится. Единственный способ получить такой результат – обеспечить эффективную вентиляцию. Для этого используются кулеры всевозможных конструкций.
В стандартном современном персональном компьютере обычно устанавливается несколько кулеров:
- в блоке питания;
- на центральном процессоре;
- на графическом процессоре (если в компьютере имеется дискретная видеоплата).
В отдельных случаях применяются дополнительные вентиляторы:
- для микросхем системной логики, расположенных на материнской плате;
- для жестких дисков;
- для корпуса ПК.
Эффективность охлаждения
Выбирая корпус для системного блока ПК, каждый из пользователей руководствуется собственными критериями. Например, моддерам требуется оригинальное дизайнерское решение либо возможность переделки для воплощения оного. Оверклокерам нужен корпус, в котором комфортно почувствует себя до предела разогнанный процессор, видеокарта, ОЗУ (список можно продолжать). И при этом все, конечно, хотят, чтобы системный блок был тихим и небольшим по размеру.
Однако навороченный ПК может выделять до 500 Вт тепла (см. таблицу ниже). Осуществимы ли пожелания с точки зрения законов физики?
СКОЛЬКО ТЕПЛА ВЫДЕЛЯЕТ КОМПЬЮТЕР
Есть несколько способов измерить тепловыделение.
1. По значениям потребляемой мощности, указанным в документации к компонентам ПК.
- Достоинства: доступность, простота.
- Недостатки: высокая погрешность и как следствие – завышенные требования к системе охлаждения.
2. С помощью сайтов, предоставляющих сервис для расчета тепловыделения (и потребляемой мощности), – например, www.emacs.ru/calc.
- Достоинства: не придется рыться в мануалах или путешествовать по сайтам производителей – нужные данные имеются в базах предлагаемых сервисов.
- Недостатки: составители баз не поспевают за производителями узлов, поэтому базы нередко содержат недостоверные данные.
3. По значениям потребляемой узлами мощности и коэффициентам тепловыделения, найденным в документации или измеренным самостоятельно. Этот способ – для профессионалов либо больших энтузиастов оптимизации системы охлаждения.
- Достоинства: дает самые точные результаты и позволяет наиболее эффективно оптимизировать работу ПК.
- Недостатки: чтобы использовать данный способ, необходимы серьезные знания и немалый опыт.
Пути решения
Главный принцип: чтобы отвести тепло, необходимо пропустить через системный блок определенное количество воздуха. Причем его объем должен быть тем больше, чем жарче в помещении и чем сильнее перегрев.
Простой установкой дополнительных вентиляторов проблему не решить. Ведь чем они многочисленнее, мощнее и «оборотистее», тем «звучнее» ПК. Причем мало того, что шумят двигатели и лопасти вентиляторов, – вследствие вибраций шумит весь системный блок (особенно часто это бывает при некачественной сборке и использовании дешевых корпусов). Для исправления такой ситуации рекомендуется применять низкооборотные вентиляторы большого диаметра.
Чтобы можно было добиться эффективного охлаждения, не используя шумные вентиляторы, системный блок должен иметь низкое сопротивление для воздуха, который через него проходит (на профессиональном языке это называется аэродинамическим сопротивлением). Говоря попросту – если воздух с трудом «пролезает» сквозь тесное пространство, забитое кабелями и компонентами, приходится ставить вентиляторы с большим избыточным давлением, а они неизбежно создают сильный шум. Другая проблема – пыль: чем больше воздуха надо прокачивать, тем чаще требуется очищать внутренность корпуса (об этом поговорим отдельно).
Аэродинамическое сопротивление
Для оптимального охлаждения всегда желательно использовать большой корпус. Только так можно добиться комфортной работы без шума и перегрева даже при аномальной (свыше 40°С) жаре. Маленький корпус уместен лишь в том случае, если компьютер имеет низкое тепловыделение либо используется водяное охлаждение.
Впрочем, для минимизации шума вовсе не обязательно собирать ПК с воздушным охлаждением в морском контейнере или в холодильнике. Достаточно учесть рекомендации специалистов. Так, свободное сечение в любом разрезе корпуса должно быть в 2–5 раз больше проходного сечения вытяжных вентиляторов. Это также относится и к отверстиям для подачи воздуха.
КУЛЕР НА ТЕРМОТРУБКАХ
Кулеры на термотрубках «молчаливы» и позволяют охлаждать даже весьма горячие компоненты ПК, такие как графические процессоры видеокарт. Однако нужно непременно учитывать специфические особенности этих охлаждающих систем.
Гибридные системы включают, наряду с термотрубками и радиаторами, обычные вентиляторы. Но присутствие термотрубок, облегчающих отвод тепла, позволяет обойтись вентилятором меньших размеров либо использовать низкооборотные, а значит, не столь шумные модели.
Для того чтобы снизить аэродинамическое сопротивление, нужно:
- обеспечить в корпусе достаточно свободного места для потоков воздуха (оно должно быть в несколько раз больше суммарного сечения вытяжных вентиляторов);
- аккуратно уложить кабели внутри системного блока, используя стяжки;
- в месте подачи воздуха в корпус установить фильтр, задерживающий пыль, но не оказывающий сильного сопротивления воздушному потоку;
- фильтр следует регулярно чистить.
Соблюдение нехитрых правил позволит установить низкооборотные вытяжные вентиляторы. Как уже говорилось, корпус должен обеспечивать подачу холодного воздуха из помещения, где стоит ПК, ко всем «горячим» компонентам без больших энергетических затрат (т.е. минимальным числом вентиляторов). Объем воздуха должен быть достаточным, чтобы его температура на выходе из корпуса не оказалась слишком высокой: для эффективной теплоотдачи компонентов ПК разность температур воздуха на входе и на выходе из системного блока не должна превышать нескольких градусов.
ВАРИАНТЫ КОМПОНОВКИ ВЕНТИЛЯТОРОВ И ЭЛЕМЕНТОВ СИСТЕМНОГО БЛОКА, ОБЕСПЕЧИВАЮЩИЕ ЭФФЕКТИВНОЕ ОХЛАЖДЕНИЕ ПК
Вот одна из концепций построения системы воздушного охлаждения:
- забор воздуха осуществляется внизу и спереди, в «холодной» зоне;
- вывод воздуха производится вверху и сзади, через блок питания. Это соответствует естественному движению нагретого воздуха вверх;
- при необходимости устанавливается дополнительный вытяжной вентилятор с автоматической регулировкой, расположенный рядом с БП;
- обеспечивается дополнительный забор воздуха для видеокарты через заглушку PCIE;
- обеспечивается слабое вентилирование отсеков 3″ и 5″ дисков за счет слегка отогнутых заглушек незанятых отсеков;
- важно пустить основной поток воздуха через самые «горячие» компоненты;
- суммарную площадь заборных отверстий желательно довести до удвоенной площади вентиляторов (больше не требуется, поскольку эффекта это не даст, а накопление пыли увеличится).
В соответствии с данными рекомендациями можно дорабатывать корпуса самостоятельно (интересно, но хлопотно) либо при покупке выбирать соответствующие модели. Примерные варианты организации потоков воздуха через системный блок приводятся выше.
«Правильный» вентилятор
Если системный блок слабо «сопротивляется» потоку вдуваемого воздуха, можно использовать любой вентилятор, лишь бы он давал достаточный для охлаждения поток (об этом можно узнать из его паспорта, а также пользуясь онлайнкалькуляторами). Другое дело, если сопротивление воздушному потоку значительно – именно так обстоит дело с вентиляторами, монтируемыми в плотно «заселенные» корпуса, на радиаторы и в отверстия, забранные перфорацией.
Если вы решили самостоятельно заменить вышедший из строя вентилятор в корпусе или на кулере, устанавливайте такой, который обладает не меньшими значениями расхода и избыточного давления воздуха (см. паспорт). Если соответствующей информации нет, использовать подобный вентилятор в ответственных узлах (например, для охлаждения процессора) не рекомендуется.
Если уровень шума не слишком важен, можно устанавливать «оборотистые» вентиляторы большего диаметра. Более «толстые» модели позволяют снижать уровень шума, одновременно повышая давление воздуха.
В любом случае обращайте внимание на зазор между лопастями и ободом вентилятора: он не должен быть большим (оптимальная величина исчисляется десятыми долями миллиметра). Если расстояние между лопастями и ободом больше 2 мм, вентилятор окажется малоэффективным.
Воздух или вода?
Довольно широко распространено мнение, согласно которому водяные системы намного действеннее и тише обычных воздушных. Так ли это на самом деле? Действительно, теплоемкость у воды вдвое, а плотность – в 830 раз выше, чем у воздуха. Это значит, что равный объем воды способен отвести в 1658 раз больше тепла.
Однако с шумом все не так просто. Ведь теплоноситель (вода) в итоге отдает тепло все тому же «забортному» воздуху, и водяные радиаторы (за исключением огромных конструкций) оснащены такими же вентиляторами – их шум добавляется к шуму водяного насоса. Поэтому выигрыш, если он есть, не так уж велик.
Конструкция сильно усложняется, когда необходимо охладить несколько компонентов потоком воды, пропорциональным их тепловыделению. Не считая разветвленных трубок, приходится применять сложные регулирующие приборы (простыми тройниками и крестовинами не обойдешься). Альтернативный вариант – использовать конструкцию с раз и навсегда отрегулированными на заводе потоками; но в этом случае пользователь лишен возможности существенно изменить конфигурацию ПК.
Пыль и борьба с ней
Вследствие перепадов скоростей системные блоки компьютеров становятся настоящими пылесборниками. Скорость воздуха, идущего через входные отверстия, многократно превышает скорость потоков внутри корпуса. Кроме того, воздушные потоки часто меняют направление, огибая компоненты ПК. Поэтому большинство (до 70%) приносимой извне пыли оседает внутри корпуса; необходимо хотя бы раз в год производить чистку.
Впрочем, пыль может стать вашим «союзником» в борьбе за повышение эффективности системы охлаждения. Ведь активное ее оседание наблюдается как раз в тех местах, где воздушные потоки распределяются не оптимальным образом.
Воздушные фильтры
Волокнистые фильтры перехватывают более 70% пыли, что позволяет чистить корпус значительно реже. Зачастую в корпуса современных ПК устанавливают несколько вытяжных вентиляторов диаметром 120 мм, при этом воздух поступает в корпус через множество входных отверстий, рассредоточенных по всей конструкции, – их суммарная площадь много меньше площади вентиляторов. Устанавливать фильтр в такой корпус без доработки бессмысленно. Профессионалы дают здесь ряд рекомендаций:
- входные отверстия для забора охлаждающего воздуха должны быть расположены как можно ближе к его основанию;
- точки входа и выхода воздуха, пути его прохождения должны быть организованы так, чтобы воздушные потоки «омывали» наиболее нагретые элементы ПК;
- площадь отверстий для забора воздуха должна в 2–5 раз превышать площадь вытяжных вентиляторов.
Кулеры на элементах Пельтье
Элементы Пельтье – или, как их еще называют, термоэлектрические модули (ТЭМ), работающие на принципе эффекта Пельтье, – выпускаются в промышленных масштабах уже много лет. Их встраивают в автомобильные холодильники, охладители для пива, промышленные кулеры для охлаждения процессоров. Существуют модели и для ПК, хотя встречаются они еще довольно редко.
Сначала – о принципе работы. Как нетрудно догадаться, эффект Пельтье открыт французом Жаном-Шарлем Пельтье; случилось это в 1834 году. Охлаждающий модуль на основе данного эффекта включает множество последовательно соединенных полупроводниковых элементов n и pтипов. При прохождении постоянного тока через такое соединение одна половина p-nконтактов будет нагреваться, другая – охлаждаться.
Эти полупроводниковые элементы ориентированы так, чтобы нагревающиеся контакты выходили на одну сторону, а охлаждающиеся – на другую. Получается пластинка, которую с обеих сторон покрывают керамическим материалом. Если подать на такой модуль достаточно сильный ток, разность температур между сторонами мо жет достигать нескольких десятков градусов.
Можно сказать, что ТЭМ – своего рода «тепловой насос», который, затрачивая энергию внешнего источника питания, перекачивает выделяемое тепло от источника (например, процессора) к теплообменнику – радиатору, участвуя таким образом в процессе охлаждения.
Чтобы эффективно отводить тепло от мощного процессора, приходится использовать ТЭМ из 100–200 элементов (которые, кстати, довольно хрупки); поэтому ТЭМ оснащен дополнительной медной контактной пластиной, что увеличивает размер устройства и требует нанесения дополнительных слоев термопасты.
Это снижает эффективность теплоотведения. Проблема частично решается заменой термопасты пайкой, но в доступных на рынке моделях такой способ применяется редко. Заметим, что энергопотребление самого ТЭМ достаточно велико и сопоставимо с количеством отводимого тепла (примерно треть используемой ТЭМ энергии также превращается в тепло).
Другая трудность, возникающая при использовании ТЭМ в кулерах, – необходимость точного регулирования температуры модуля; оно обеспечивается применением специальных плат с контроллерами. Это удорожает кулер, к тому же плата занимает дополнительное место в системном блоке. Если температуру не регулировать, она может опуститься до отрицательных значений; возможно также образование конденсата, что недопустимо для электронных компонентов компьютера.
Итак, качественные кулеры на основе ТЭМ дороги (от 2,5 тыс. руб.), сложны, громоздки и не так эффективны, как можно подумать, судя по их размерам. Единственная область, в которой такие кулеры незаменимы, – охлаждение промышленных компьютеров, работающих в жарких (выше 50°С) условиях; однако к теме нашей статьи это не относится.
Термоинтерфейс и термопаста
Как уже говорилось, составной частью любой охлаждающей системы (в том числе компьютерного кулера) является термоинтерфейс – компонент, через который осуществляется термоконтакт между тепловыделяющим и теплоотводящим устройствами. Выступающая в этой роли термопаста обеспечивает эффективный перенос тепла между, например, процессором и кулером.
Зачем нужна теплопроводящая паста
Если радиатор кулера неплотно прилегает к охлаждаемому чипу, эффективность работы всей охлаждающей системы сразу снижается (воздух – хороший теплоизолятор). Сделать поверхность радиатора ровной и плоской (для идеального контакта с охлаждаемым устройством) весьма трудно, да и недешево. Здесь и приходит на помощь термопаста, заполняющая неровности на контактирующих поверхностях и тем самым значительно повышающая эффективность теплопереноса между ними.
Важно, чтобы вязкость термопасты была не слишком высокой: это необходимо для вытеснения воздуха из места термоконтакта при минимальном слое термопасты. Учтите, кстати, что полировка подошвы кулера до зеркального состояния сама по себе может и не улучшить теплообмен. Дело в том, что при ручной обработке практически нереально сделать поверхности строго параллельными, – в итоге зазор между радиатором и процессором может даже увеличиться.
Прежде чем наносить новую термопасту, старательно избавьтесь от старой. Для этого используются салфетки из нетканых материалов (они не должны оставлять волокон на поверхностях). Разводить пасту крайне нежелательно, так как это сильно ухудшает теплопроводящие свойства. Дадим еще несколько рекомендаций:
- применяйте термопасты с теплопроводностью более 2–4 Вт/(К*м) и низкой вязкостью;
- устанавливая кулер, каждый раз наносите свежую термопасту;
- при установке необходимо, зафиксировав кулер креплением, сильно (но не слишком, иначе возможны повреждения) прижать его рукой и несколько раз повернуть вокруг оси в пределах существующих люфтов. В любом случае монтаж требует навыка и аккуратности.
Термотрубки
Термотрубки замечательно подходят для отвода излишков тепла. Они компактны и бесшумны. По конструкции это герметичные цилиндры (могут быть довольно длинными и произвольным образом изогнутыми), частично заполненные теплоносителем. Внутри цилиндра находится другая трубка, сделанная в виде капилляра.
Работает термотрубка следующим образом: в нагретой области теплоноситель испаряется, его пар переходит в охлаждаемую часть термотрубки и там конденсируется – а конденсат по капиллярной внутренней трубке возвращается в нагретую область.
Главное преимущество термотрубок состоит в высокой теплопроводности: скорость распространения тепла равна скорости, с которой пары теплоносителя проходят трубку из конца в конец (она весьма велика и близка к скорости распространения звука). В условиях меняющегося тепловыделения охлаждающие системы на термотрубках очень эффективны. Это важно, например, для охлаждения процессоров, которые, в зависимости от режима работы, выделяют разное количество тепла.
Выпускаемые сейчас термотрубки способны отводить 20–80 Вт тепла. При конструировании кулеров обычно применяются трубки диаметром 5–8 мм и длиной до 300 мм.
Однако при всех преимуществах термотрубок у них есть одно существенное ограничение, о котором далеко не всегда пишут в руководствах. Производители обычно не указывают температуру закипания теплоносителя в термотрубках кулера, между тем именно она определяет порог, при пересечении которого термотрубка начинает эффективно отводить тепло. До этого момента пассивный кулер на термотрубках, не имеющий вентилятора, работает как обычный радиатор. Вообще, чем ниже температура закипания теплоносителя, тем эффективнее и безопаснее кулер на термотрубках; рекомендуемое значение – 35—40°С (лучше, если температура закипания указана в документации).
Подведем итоги. Кулеры на тепловых трубках особенно полезны при высоком (более 100 Вт) тепловыделении, но их можно применять и в других случаях – если не смущает цена. При этом необходимо использовать термопасты, эффективно передающие тепло, – это позволит полностью реализовать возможности кулера. Общий принцип выбора таков: чем больше термотрубок и чем они толще, тем лучше.
Разновидности термотрубок
Термотрубки высокого давления (HTS). В конце 2005 года компания ICE HAMMER Electronics представила новый вид кулеров на тепловых трубках высокого давления, построенных по технологии Heat Transporting System (HTS). Можно сказать, что данная система занимает промежуточное положение между тепловыми трубками и жидкостными системами охлаждения. Теплоносителем в ней является вода с примесью аммиака и других химических соединений при нормальном атмосферном давлении. Благодаря подъему пузырьков, образующихся при закипании смеси, циркуляция теплоносителя значительно ускоряется. Видимо, такие системы максимально эффективно работают, когда трубки занимают вертикальное положение.
Технология NanoSpreader позволяет создавать полые теплопроводящие ленты из меди шириной 70–500 мм и толщиной 1,5–3,5 мм, заполненные теплоносителем. Роль капилляра играет полотно из медных волокон, возвращающее сконденсированный теплоноситель из зоны конденсации в зону нагрева и испарения. Форму плоской ленты поддерживает упругий крупнопористый материал, который не позволяет стенкам спадаться и обеспечивает свободное перемещение паров. Главные преимущества тепловых лент – малая толщина и возможность накрывать большие площади.
Моддинг и системы охлаждения
Слово «моддинг» образовано от английского modify (модифицировать, изменять). Моддеры (те, кто занимается моддингом) преобразуют корпуса и «внутренности» компьютеров с целью улучшения технических характеристик, а главное – внешнего вида. Как и любители автомобильного тюнинга, компьютерные пользователи хотят персонифицировать свой инструмент работы и творчества, незаменимое средство коммуникации и центр домашних развлечений. Моддинг – мощное средство самовыражения; это, безусловно, творчество, возможность поработать головой и руками, приобрести ценный опыт.
ТОВАРЫ ДЛЯ МОДДИНГА
Существует масса специализированных интернет-магазинов (как российских, так и зарубежных), которые предлагают товары для моддинга, доставляя их по всему миру. Отечественными пользоваться удобнее: с иностранными больше хлопот (например, при переводе денег), да и доставка, как правило, дорогая. Подобные специализированные ресурсы легко найти, воспользовавшись поисковыми системами.
Иногда принадлежности для моддинга совершенно неожиданно обнаруживаются в прайс-листах обычных интернет-магазинов, причем цена на них подчас ниже, чем в специализированных. Поэтому рекомендуем не спешить с покупкой того или иного аксессуара – сперва тщательно изучите несколько прайс-листов.
Что изменяют моддеры в компьютерах
Вряд ли среднестатистический моддер способен переделать сложную начинку: возможности пользователя, не обладающего специальными знаниями в области радиоэлектроники и схемотехники, все же ограниченны. Поэтому компьютерный моддинг предполагает в основном «косметическое» преображение корпуса компьютера.
ОСНОВНЫЕ ПРОИЗВОДИТЕЛИ ТОВАРОВ ДЛЯ МОДДИНГА
Чтобы лучше ориентироваться в комплектующих, имеет смысл знать имена некоторых компаний, специализирующихся на выпуске мод-товаров: Sunbeam, Floston, Gembird, Revoltec, Vizo, Sharkoon, Vantec, Spire, Hanyang, 3R System, G. M. Corporation, Korealcom, RaidMax, Sirtec (компьютерные корпуса и блоки питания), Zalman, Akasa (БП, системы охлаждения), Koolance, SwiftTech (водяное охлаждение), VapoChill (системы криогенного охлаждения), Thermaltake (в основном корпуса и мод-панели).
В частности, осуществляются так называемые blowhole-моды: в корпусе прорезаются отверстия для вентиляции, а также для установки дополнительных кулеров. Такие модификации не просто улучшают внешний вид – они полезны для общего «здоровья» компьютера, поскольку усиливают охлаждение компонентов системы.
Опытные моддеры часто сочетают приятное с полезным: устанавливают жидкостные системы охлаждения (большинство их имеет совершенно футуристический дизайн).
Они крупнее по размерам и, как правило, дороже традиционных воздушных, зато позволяют разгонять центральный процессор, видеокарту и оперативную память.
СИСТЕМА ЖИДКОСТНОГО ОХЛАЖДЕНИЯ KOOLANCE EXOS-2 V2
Построение эффективной системы водяного охлаждения (СВО) – задача не из легких и в техническом, и в финансовом смысле. Как было сказано, необходим солидный багаж специальных знаний, которые есть далеко не у каждого; да и без технических навыков не обойтись. Все это сильно стимулирует к покупке готовой СВО. Склоняясь к данному варианту, будьте готовы изрядно раскошелиться. Причем далеко не факт, что прирост производительности процессора и прочих компонентов системного блока, даже разогнанного благодаря эффективному отводу тепла новой СВО, окупит разницу в стоимости по сравнению со штатной (или даже улучшенной) системой воздушного охлаждения. Но у такого варианта есть и явные плюсы. Приобретая готовую СВО, вы не должны будете самостоятельно подбирать отдельные компоненты, заказывать их на сайтах разных производителей или продавцов, ожидать доставки и т.п. К тому же не придется заниматься модификацией корпуса ПК – часто это преимущество перевешивает все недостатки. Наконец, серийные СВО обычно дешевле моделей, собранных по частям.
Примером СВО, предоставляющей разумный компромисс между свободной творчества и простотой сборки (без ущерба для эффективности охлаждения), является система KoolanceExos-2 V2. Она позволяет использовать самые разные водоблоки (так называются полые теплообменники, накрывающие охлаждаемый элемент) из широкого ассортимента, выпускаемого компанией. Блок данной СВО объединяет радиатор-теплообменник с вентиляторами, помпу, расширительный бачок, датчики и управляющую электронику.
Процесс установки и подключения таких СВО очень прост – он подробно описан в руководстве пользователя. Учтите, что вентиляционные отверстия СВО располагаются сверху. Соответственно, над вентиляторами должно быть достаточно свободного места для оттока нагретого воздуха (не менее 240 мм при диаметре вентиляторов 120 мм). Если такого пространства сверху нет (например, мешает столешница компьютерного стола), можно просто положить блок СВО рядом с системным блоком – хотя такой вариант не описан в инструкции.
Мод-товары для систем охлаждения
Хотя ассортимент модтоваров, которые предлагаются российскими специализированными интернетмагазинами, не очень широк (по сравнению с зарубежными компаниями), начинающий любитель моддинга может легко и просто запутаться в позициях прайслиста и не совсем верно понять предназначение или преимущества тех или иных аксессуаров.
Самый простой и очевидный способ моддинга – замена штатных кулеров на моддерские с подсветкой (их выбор также достаточно широк: есть и мощные процессорные кулеры, и слабенькие – декоративные).
Главное правило: сравнивайте цены в разных поисковых системах и интернетмагазинах! Амплитуда колебаний вас немало удивит. Разумеется, следует выбирать более дешевые предложения, непременно обращая внимание на условия оплаты, доставки и гарантии.
О Admin
Основатель компьютерного сервиса TERABYTE Смотреть все посты от Admin →
Все об охлаждении компьютера
Лето стремительно вступило в свои права; столбик термометра ползет вверх, и все чаще приходится задумываться о том, как обеспечить комфортную температуру. Поверьте: для компьютеров проблема борьбы с жарой не менее актуальна, чем для их пользователей. Даже если условия в помещении вполне нормальные (20 — 22°С), температура в системном блоке достигает 30–32°С. И это в лучшем случае. Чем жарче на улице и в квартирах, тем острее вопрос защиты от перегрева и тем пристальнее внимание к системам охлаждения системного блока и его компонентов.
Чтобы грамотно решить проблему, необходимо хотя бы в общих чертах представлять, зачем вообще нужны компьютерам системы охлаждения, почему системные блоки перегреваются и как обезопасить «вычислительного друга» от теплового удара. В этой статье вы не найдете длинного перечня моделей кулеров, но, прочитав ее, сами сможете выбрать подходящие компоненты системы охлаждения ПК и грамотно подойти к выбору нового корпуса.
Почему он греется
Причина тривиальна: как любой электроприбор, компьютер рассеивает часть (порой весьма значительную) потребляемой электроэнергии в виде тепла – например, процессор переводит в тепло почти всю использованную энергию. Чем больше ее нужно системному блоку, тем сильнее нагреваются его компоненты. Если тепло вовремя не отводить, это может привести к самым неприятным результатам (см. «Последствия перегрева»). Особенно актуальна проблема теплоотведения и охлаждения для современных моделей процессоров (как центральных, так и графических), устанавливающих все новые рекорды производительности (а нередко и тепловыделения).
Каждый компонент ПК, рассеивающий много тепла, оснащается охлаждающим устройством. Как правило, в таких устройствах присутствуют металлический радиатор и вентилятор – именно из этих компонентов состоит типичный кулер. Важен также термоинтерфейс между ним и нагревающимся компонентом – обычно это термопаста (смесь веществ с хорошей теплопроводностью), обеспечивающая эффективную передачу тепла к радиатору кулера.
Прогресс в области систем охлаждения, благодаря которому появились такие технологические новинки, как термотрубки, обеспечил создателям компонентов для персональных компьютеров новые возможности, позволив отказаться от шумных кулеров. Некоторые компьютеры оснащаются водяными системами охлаждения – они имеют свои достоинства и недостатки. Обо всем этом рассказывается далее.
Рост тепловыделения ПК
Главная причина, по которой компьютеры выделяют все больше и больше тепла, состоит в том, что повышается их вычислительная мощность. Наиболее существенны следующие факторы:
- рост тактовых частот процессора, чипсета, шины памяти и прочих шин;
- рост числа транзисторов и ячеек памяти в чипах ПК;
- увеличение мощности, потребляемой узлами ПК.
Чем мощнее компьютер, тем больше электричества он «съедает» – следовательно, неизбежен рост тепловыделения. Несмотря на применение изощренных технологических процессов при производстве чипов, их потребляемая мощность все равно растет, увеличивая количество тепла, рассеиваемого в корпусе ПК. Кроме того, возрастает площадь плат видеокарт (например, изза того, что необходимо разместить больше микросхем памяти). Результат – рост аэродинамического сопротивления корпуса: громоздкая плата просто перекрывает доступ охлаждающего воздуха к процессору и блоку питания. Особенно актуальна эта проблема для ПК в маленьких корпусах, где расстояние между видеокартой и «корзиной» для HDD составляет 2–3 см, – а ведь в этом пространстве еще проложены шлейфы приводов и прочие кабели. Микросхемы оперативной памяти тоже становятся все «прожорливее», а современные ОС требуют все большего ОЗУ. Например, в Windows 7 для него рекомендуется 4 Гб – таким образом, рассеивается несколько десятков ватт тепла, что дополнительно усугубляет ситуацию с тепловыделением. Микросхема системной логики на материнской плате тоже является весьма «горячим» компонентом.
УЯЗВИМОСТЬ ЖЕСТКИХ ДИСКОВ
Внутри корпуса жесткого диска над поверхностью вращающихся пластин скользят подвижные магнитные головки, управляемые высокоточной механикой. Они осуществляют запись и чтение данных. При нагревании материалы, из которых сделаны компоненты диска, расширяются. В рабочем диапазоне температур механика и электроника вполне справляются с тепловым расширением. Однако при перегреве оно превышает допустимые пределы, и головки жесткого диска могут «промахиваться», записывая данные не там, где нужно, пока компьютер не будет выключен. А когда его снова включат, остывший жесткий диск не сможет найти данные, записанные в перегретом состоянии. В подобном случае информацию удается спасти только при помощи сложного и дорогого спецоборудования. Если температура превышает 45°С, для охлаждения жесткого диска рекомендуется установить дополнительный вентилятор.
Налицо парадокс: тепловая нагрузка в современных корпусах растет высокими темпами, а их конструкция почти не меняется: производители берут за основу рекомендованный Intel дизайн почти 10летней давности. Модели, приспособленные к интенсивному тепловыделению, встречаются нечасто, а малошумные – и того реже.
Последствия перегрева
При избытке тепла компьютер в лучшем случае начнет тормозить и зависать, а в худшем – один или несколько компонентов выйдут из строя. Высокие температуры очень вредны для «здоровья» элементной базы (микросхем, конденсаторов и пр.), особенно для жесткого диска, перегрев которого чреват потерей данных.
ПРИМЕРНЫЕ ПАРАМЕТРЫ ТЕПЛОВЫДЕЛЕНИЯ
Примерные параметры тепловыделения компонентов среднестатистического системного блока компьютера (при высокой вычислительной нагрузке). Основными источниками тепла являются материнская плата, центральный процессор и графический процессор видеокарты (на их долю приходится более половины рассеиваемого тепла).
Емкость современных HDD позволяет хранить на них обширные коллекции музыки и видео, рабочие документы, цифровые фотоальбомы, игры и многое другое. Диски становятся все компактнее и быстрее, но за это приходится расплачиваться большей плотностью записи данных, хрупкостью конструкции, а значит, и уязвимостью начинки. Допуски при производстве емких накопителей измеряются микронами, так что малейший «шаг в сторону» выводит диск из строя. Потому HDD столь чувствительны к внешним воздействиям. Если диску приходится работать в неоптимальных условиях (например, с перегревом), вероятность потери записанных данных резко возрастает.
Охлаждение ПК: азы
Если температура воздуха в системном блоке держится на уровне 36°С или выше, а температура процессора – более 60°С (либо жесткий диск постоянно нагревается до 45°С), пора принимать меры по улучшению охлаждения.
Но прежде чем бежать в магазин за новым кулером, примите во внимание несколько моментов. Не исключено, что проблему перегрева можно решить более простым способом. Например, системный блок должен располагаться так, чтобы имелся свободный доступ воздуха ко всем вентиляционным отверстиям. Расстояние, на которое его тыльная часть отстоит от стены или мебели, должно быть не меньше, чем два диаметра вытяжного вентилятора. Иначе возрастает сопротивление оттоку воздуха, а главное – нагретый воздух дольше остается рядом с вентиляционными отверстиями, так что значительная его часть вновь попадает в системный блок. Если он установлен неправильно, от перегрева не спасет даже самый мощный кулер (эффективность работы которого определяется разностью между его температурой и температурой охлаждающего радиатор воздуха).
КУЛЕР, ОСНОВАННЫЙ НА ЭФФЕКТЕ ПЕЛЬТЬЕ
Одна из новейших моделей, в которой использован эффект Пельтье. Обычно в таких кулерах представлен полный набор последних технологических достижений: ТЭМ, термотрубки, вентиляторы с продвинутой аэродинамикой и эффектный дизайн. Результат впечатляющий; хватило бы места в системном блоке.
Максимально эффективное охлаждение достигается при равенстве температур воздуха в системном блоке и в помещении, где он находится. Единственный способ получить такой результат – обеспечить эффективную вентиляцию. Для этого используются кулеры всевозможных конструкций.
В стандартном современном персональном компьютере обычно устанавливается несколько кулеров:
- в блоке питания;
- на центральном процессоре;
- на графическом процессоре (если в компьютере имеется дискретная видеоплата).
В отдельных случаях применяются дополнительные вентиляторы:
- для микросхем системной логики, расположенных на материнской плате;
- для жестких дисков;
- для корпуса ПК.
Эффективность охлаждения
Выбирая корпус для системного блока ПК, каждый из пользователей руководствуется собственными критериями. Например, моддерам требуется оригинальное дизайнерское решение либо возможность переделки для воплощения оного. Оверклокерам нужен корпус, в котором комфортно почувствует себя до предела разогнанный процессор, видеокарта, ОЗУ (список можно продолжать). И при этом все, конечно, хотят, чтобы системный блок был тихим и небольшим по размеру.
Однако навороченный ПК может выделять до 500 Вт тепла (см. таблицу ниже). Осуществимы ли пожелания с точки зрения законов физики?
СКОЛЬКО ТЕПЛА ВЫДЕЛЯЕТ КОМПЬЮТЕР
Есть несколько способов измерить тепловыделение.
1. По значениям потребляемой мощности, указанным в документации к компонентам ПК.
- Достоинства: доступность, простота.
- Недостатки: высокая погрешность и как следствие – завышенные требования к системе охлаждения.
2. С помощью сайтов, предоставляющих сервис для расчета тепловыделения (и потребляемой мощности), – например, www.emacs.ru/calc.
- Достоинства: не придется рыться в мануалах или путешествовать по сайтам производителей – нужные данные имеются в базах предлагаемых сервисов.
- Недостатки: составители баз не поспевают за производителями узлов, поэтому базы нередко содержат недостоверные данные.
3. По значениям потребляемой узлами мощности и коэффициентам тепловыделения, найденным в документации или измеренным самостоятельно. Этот способ – для профессионалов либо больших энтузиастов оптимизации системы охлаждения.
- Достоинства: дает самые точные результаты и позволяет наиболее эффективно оптимизировать работу ПК.
- Недостатки: чтобы использовать данный способ, необходимы серьезные знания и немалый опыт.
Пути решения
Главный принцип: чтобы отвести тепло, необходимо пропустить через системный блок определенное количество воздуха. Причем его объем должен быть тем больше, чем жарче в помещении и чем сильнее перегрев.
Простой установкой дополнительных вентиляторов проблему не решить. Ведь чем они многочисленнее, мощнее и «оборотистее», тем «звучнее» ПК. Причем мало того, что шумят двигатели и лопасти вентиляторов, – вследствие вибраций шумит весь системный блок (особенно часто это бывает при некачественной сборке и использовании дешевых корпусов). Для исправления такой ситуации рекомендуется применять низкооборотные вентиляторы большого диаметра.
Чтобы можно было добиться эффективного охлаждения, не используя шумные вентиляторы, системный блок должен иметь низкое сопротивление для воздуха, который через него проходит (на профессиональном языке это называется аэродинамическим сопротивлением). Говоря попросту – если воздух с трудом «пролезает» сквозь тесное пространство, забитое кабелями и компонентами, приходится ставить вентиляторы с большим избыточным давлением, а они неизбежно создают сильный шум. Другая проблема – пыль: чем больше воздуха надо прокачивать, тем чаще требуется очищать внутренность корпуса (об этом поговорим отдельно).
Аэродинамическое сопротивление
Для оптимального охлаждения всегда желательно использовать большой корпус. Только так можно добиться комфортной работы без шума и перегрева даже при аномальной (свыше 40°С) жаре. Маленький корпус уместен лишь в том случае, если компьютер имеет низкое тепловыделение либо используется водяное охлаждение.
Впрочем, для минимизации шума вовсе не обязательно собирать ПК с воздушным охлаждением в морском контейнере или в холодильнике. Достаточно учесть рекомендации специалистов. Так, свободное сечение в любом разрезе корпуса должно быть в 2–5 раз больше проходного сечения вытяжных вентиляторов. Это также относится и к отверстиям для подачи воздуха.
КУЛЕР НА ТЕРМОТРУБКАХ
Кулеры на термотрубках «молчаливы» и позволяют охлаждать даже весьма горячие компоненты ПК, такие как графические процессоры видеокарт. Однако нужно непременно учитывать специфические особенности этих охлаждающих систем.
Гибридные системы включают, наряду с термотрубками и радиаторами, обычные вентиляторы. Но присутствие термотрубок, облегчающих отвод тепла, позволяет обойтись вентилятором меньших размеров либо использовать низкооборотные, а значит, не столь шумные модели.
Для того чтобы снизить аэродинамическое сопротивление, нужно:
- обеспечить в корпусе достаточно свободного места для потоков воздуха (оно должно быть в несколько раз больше суммарного сечения вытяжных вентиляторов);
- аккуратно уложить кабели внутри системного блока, используя стяжки;
- в месте подачи воздуха в корпус установить фильтр, задерживающий пыль, но не оказывающий сильного сопротивления воздушному потоку;
- фильтр следует регулярно чистить.
Соблюдение нехитрых правил позволит установить низкооборотные вытяжные вентиляторы. Как уже говорилось, корпус должен обеспечивать подачу холодного воздуха из помещения, где стоит ПК, ко всем «горячим» компонентам без больших энергетических затрат (т.е. минимальным числом вентиляторов). Объем воздуха должен быть достаточным, чтобы его температура на выходе из корпуса не оказалась слишком высокой: для эффективной теплоотдачи компонентов ПК разность температур воздуха на входе и на выходе из системного блока не должна превышать нескольких градусов.
ВАРИАНТЫ КОМПОНОВКИ ВЕНТИЛЯТОРОВ И ЭЛЕМЕНТОВ СИСТЕМНОГО БЛОКА, ОБЕСПЕЧИВАЮЩИЕ ЭФФЕКТИВНОЕ ОХЛАЖДЕНИЕ ПК
Вот одна из концепций построения системы воздушного охлаждения:
- забор воздуха осуществляется внизу и спереди, в «холодной» зоне;
- вывод воздуха производится вверху и сзади, через блок питания. Это соответствует естественному движению нагретого воздуха вверх;
- при необходимости устанавливается дополнительный вытяжной вентилятор с автоматической регулировкой, расположенный рядом с БП;
- обеспечивается дополнительный забор воздуха для видеокарты через заглушку PCIE;
- обеспечивается слабое вентилирование отсеков 3″ и 5″ дисков за счет слегка отогнутых заглушек незанятых отсеков;
- важно пустить основной поток воздуха через самые «горячие» компоненты;
- суммарную площадь заборных отверстий желательно довести до удвоенной площади вентиляторов (больше не требуется, поскольку эффекта это не даст, а накопление пыли увеличится).
В соответствии с данными рекомендациями можно дорабатывать корпуса самостоятельно (интересно, но хлопотно) либо при покупке выбирать соответствующие модели. Примерные варианты организации потоков воздуха через системный блок приводятся выше.
«Правильный» вентилятор
Если системный блок слабо «сопротивляется» потоку вдуваемого воздуха, можно использовать любой вентилятор, лишь бы он давал достаточный для охлаждения поток (об этом можно узнать из его паспорта, а также пользуясь онлайнкалькуляторами). Другое дело, если сопротивление воздушному потоку значительно – именно так обстоит дело с вентиляторами, монтируемыми в плотно «заселенные» корпуса, на радиаторы и в отверстия, забранные перфорацией.
Если вы решили самостоятельно заменить вышедший из строя вентилятор в корпусе или на кулере, устанавливайте такой, который обладает не меньшими значениями расхода и избыточного давления воздуха (см. паспорт). Если соответствующей информации нет, использовать подобный вентилятор в ответственных узлах (например, для охлаждения процессора) не рекомендуется.
Если уровень шума не слишком важен, можно устанавливать «оборотистые» вентиляторы большего диаметра. Более «толстые» модели позволяют снижать уровень шума, одновременно повышая давление воздуха.
В любом случае обращайте внимание на зазор между лопастями и ободом вентилятора: он не должен быть большим (оптимальная величина исчисляется десятыми долями миллиметра). Если расстояние между лопастями и ободом больше 2 мм, вентилятор окажется малоэффективным.
Воздух или вода?
Довольно широко распространено мнение, согласно которому водяные системы намного действеннее и тише обычных воздушных. Так ли это на самом деле? Действительно, теплоемкость у воды вдвое, а плотность – в 830 раз выше, чем у воздуха. Это значит, что равный объем воды способен отвести в 1658 раз больше тепла.
Однако с шумом все не так просто. Ведь теплоноситель (вода) в итоге отдает тепло все тому же «забортному» воздуху, и водяные радиаторы (за исключением огромных конструкций) оснащены такими же вентиляторами – их шум добавляется к шуму водяного насоса. Поэтому выигрыш, если он есть, не так уж велик.
Конструкция сильно усложняется, когда необходимо охладить несколько компонентов потоком воды, пропорциональным их тепловыделению. Не считая разветвленных трубок, приходится применять сложные регулирующие приборы (простыми тройниками и крестовинами не обойдешься). Альтернативный вариант – использовать конструкцию с раз и навсегда отрегулированными на заводе потоками; но в этом случае пользователь лишен возможности существенно изменить конфигурацию ПК.
Пыль и борьба с ней
Вследствие перепадов скоростей системные блоки компьютеров становятся настоящими пылесборниками. Скорость воздуха, идущего через входные отверстия, многократно превышает скорость потоков внутри корпуса. Кроме того, воздушные потоки часто меняют направление, огибая компоненты ПК. Поэтому большинство (до 70%) приносимой извне пыли оседает внутри корпуса; необходимо хотя бы раз в год производить чистку.
Впрочем, пыль может стать вашим «союзником» в борьбе за повышение эффективности системы охлаждения. Ведь активное ее оседание наблюдается как раз в тех местах, где воздушные потоки распределяются не оптимальным образом.
Воздушные фильтры
Волокнистые фильтры перехватывают более 70% пыли, что позволяет чистить корпус значительно реже. Зачастую в корпуса современных ПК устанавливают несколько вытяжных вентиляторов диаметром 120 мм, при этом воздух поступает в корпус через множество входных отверстий, рассредоточенных по всей конструкции, – их суммарная площадь много меньше площади вентиляторов. Устанавливать фильтр в такой корпус без доработки бессмысленно. Профессионалы дают здесь ряд рекомендаций:
- входные отверстия для забора охлаждающего воздуха должны быть расположены как можно ближе к его основанию;
- точки входа и выхода воздуха, пути его прохождения должны быть организованы так, чтобы воздушные потоки «омывали» наиболее нагретые элементы ПК;
- площадь отверстий для забора воздуха должна в 2–5 раз превышать площадь вытяжных вентиляторов.
Кулеры на элементах Пельтье
Элементы Пельтье – или, как их еще называют, термоэлектрические модули (ТЭМ), работающие на принципе эффекта Пельтье, – выпускаются в промышленных масштабах уже много лет. Их встраивают в автомобильные холодильники, охладители для пива, промышленные кулеры для охлаждения процессоров. Существуют модели и для ПК, хотя встречаются они еще довольно редко.
Сначала – о принципе работы. Как нетрудно догадаться, эффект Пельтье открыт французом Жаном-Шарлем Пельтье; случилось это в 1834 году. Охлаждающий модуль на основе данного эффекта включает множество последовательно соединенных полупроводниковых элементов n и pтипов. При прохождении постоянного тока через такое соединение одна половина p-nконтактов будет нагреваться, другая – охлаждаться.
Эти полупроводниковые элементы ориентированы так, чтобы нагревающиеся контакты выходили на одну сторону, а охлаждающиеся – на другую. Получается пластинка, которую с обеих сторон покрывают керамическим материалом. Если подать на такой модуль достаточно сильный ток, разность температур между сторонами мо жет достигать нескольких десятков градусов.
Можно сказать, что ТЭМ – своего рода «тепловой насос», который, затрачивая энергию внешнего источника питания, перекачивает выделяемое тепло от источника (например, процессора) к теплообменнику – радиатору, участвуя таким образом в процессе охлаждения.
Чтобы эффективно отводить тепло от мощного процессора, приходится использовать ТЭМ из 100–200 элементов (которые, кстати, довольно хрупки); поэтому ТЭМ оснащен дополнительной медной контактной пластиной, что увеличивает размер устройства и требует нанесения дополнительных слоев термопасты.
Это снижает эффективность теплоотведения. Проблема частично решается заменой термопасты пайкой, но в доступных на рынке моделях такой способ применяется редко. Заметим, что энергопотребление самого ТЭМ достаточно велико и сопоставимо с количеством отводимого тепла (примерно треть используемой ТЭМ энергии также превращается в тепло).
Другая трудность, возникающая при использовании ТЭМ в кулерах, – необходимость точного регулирования температуры модуля; оно обеспечивается применением специальных плат с контроллерами. Это удорожает кулер, к тому же плата занимает дополнительное место в системном блоке. Если температуру не регулировать, она может опуститься до отрицательных значений; возможно также образование конденсата, что недопустимо для электронных компонентов компьютера.
Итак, качественные кулеры на основе ТЭМ дороги (от 2,5 тыс. руб.), сложны, громоздки и не так эффективны, как можно подумать, судя по их размерам. Единственная область, в которой такие кулеры незаменимы, – охлаждение промышленных компьютеров, работающих в жарких (выше 50°С) условиях; однако к теме нашей статьи это не относится.
Термоинтерфейс и термопаста
Как уже говорилось, составной частью любой охлаждающей системы (в том числе компьютерного кулера) является термоинтерфейс – компонент, через который осуществляется термоконтакт между тепловыделяющим и теплоотводящим устройствами. Выступающая в этой роли термопаста обеспечивает эффективный перенос тепла между, например, процессором и кулером.
Зачем нужна теплопроводящая паста
Если радиатор кулера неплотно прилегает к охлаждаемому чипу, эффективность работы всей охлаждающей системы сразу снижается (воздух – хороший теплоизолятор). Сделать поверхность радиатора ровной и плоской (для идеального контакта с охлаждаемым устройством) весьма трудно, да и недешево. Здесь и приходит на помощь термопаста, заполняющая неровности на контактирующих поверхностях и тем самым значительно повышающая эффективность теплопереноса между ними.
Важно, чтобы вязкость термопасты была не слишком высокой: это необходимо для вытеснения воздуха из места термоконтакта при минимальном слое термопасты. Учтите, кстати, что полировка подошвы кулера до зеркального состояния сама по себе может и не улучшить теплообмен. Дело в том, что при ручной обработке практически нереально сделать поверхности строго параллельными, – в итоге зазор между радиатором и процессором может даже увеличиться.
Прежде чем наносить новую термопасту, старательно избавьтесь от старой. Для этого используются салфетки из нетканых материалов (они не должны оставлять волокон на поверхностях). Разводить пасту крайне нежелательно, так как это сильно ухудшает теплопроводящие свойства. Дадим еще несколько рекомендаций:
- применяйте термопасты с теплопроводностью более 2–4 Вт/(К*м) и низкой вязкостью;
- устанавливая кулер, каждый раз наносите свежую термопасту;
- при установке необходимо, зафиксировав кулер креплением, сильно (но не слишком, иначе возможны повреждения) прижать его рукой и несколько раз повернуть вокруг оси в пределах существующих люфтов. В любом случае монтаж требует навыка и аккуратности.
Термотрубки
Термотрубки замечательно подходят для отвода излишков тепла. Они компактны и бесшумны. По конструкции это герметичные цилиндры (могут быть довольно длинными и произвольным образом изогнутыми), частично заполненные теплоносителем. Внутри цилиндра находится другая трубка, сделанная в виде капилляра.
Работает термотрубка следующим образом: в нагретой области теплоноситель испаряется, его пар переходит в охлаждаемую часть термотрубки и там конденсируется – а конденсат по капиллярной внутренней трубке возвращается в нагретую область.
Главное преимущество термотрубок состоит в высокой теплопроводности: скорость распространения тепла равна скорости, с которой пары теплоносителя проходят трубку из конца в конец (она весьма велика и близка к скорости распространения звука). В условиях меняющегося тепловыделения охлаждающие системы на термотрубках очень эффективны. Это важно, например, для охлаждения процессоров, которые, в зависимости от режима работы, выделяют разное количество тепла.
Выпускаемые сейчас термотрубки способны отводить 20–80 Вт тепла. При конструировании кулеров обычно применяются трубки диаметром 5–8 мм и длиной до 300 мм.
Однако при всех преимуществах термотрубок у них есть одно существенное ограничение, о котором далеко не всегда пишут в руководствах. Производители обычно не указывают температуру закипания теплоносителя в термотрубках кулера, между тем именно она определяет порог, при пересечении которого термотрубка начинает эффективно отводить тепло. До этого момента пассивный кулер на термотрубках, не имеющий вентилятора, работает как обычный радиатор. Вообще, чем ниже температура закипания теплоносителя, тем эффективнее и безопаснее кулер на термотрубках; рекомендуемое значение – 35—40°С (лучше, если температура закипания указана в документации).
Подведем итоги. Кулеры на тепловых трубках особенно полезны при высоком (более 100 Вт) тепловыделении, но их можно применять и в других случаях – если не смущает цена. При этом необходимо использовать термопасты, эффективно передающие тепло, – это позволит полностью реализовать возможности кулера. Общий принцип выбора таков: чем больше термотрубок и чем они толще, тем лучше.
Разновидности термотрубок
Термотрубки высокого давления (HTS). В конце 2005 года компания ICE HAMMER Electronics представила новый вид кулеров на тепловых трубках высокого давления, построенных по технологии Heat Transporting System (HTS). Можно сказать, что данная система занимает промежуточное положение между тепловыми трубками и жидкостными системами охлаждения. Теплоносителем в ней является вода с примесью аммиака и других химических соединений при нормальном атмосферном давлении. Благодаря подъему пузырьков, образующихся при закипании смеси, циркуляция теплоносителя значительно ускоряется. Видимо, такие системы максимально эффективно работают, когда трубки занимают вертикальное положение.
Технология NanoSpreader позволяет создавать полые теплопроводящие ленты из меди шириной 70–500 мм и толщиной 1,5–3,5 мм, заполненные теплоносителем. Роль капилляра играет полотно из медных волокон, возвращающее сконденсированный теплоноситель из зоны конденсации в зону нагрева и испарения. Форму плоской ленты поддерживает упругий крупнопористый материал, который не позволяет стенкам спадаться и обеспечивает свободное перемещение паров. Главные преимущества тепловых лент – малая толщина и возможность накрывать большие площади.
Моддинг и системы охлаждения
Слово «моддинг» образовано от английского modify (модифицировать, изменять). Моддеры (те, кто занимается моддингом) преобразуют корпуса и «внутренности» компьютеров с целью улучшения технических характеристик, а главное – внешнего вида. Как и любители автомобильного тюнинга, компьютерные пользователи хотят персонифицировать свой инструмент работы и творчества, незаменимое средство коммуникации и центр домашних развлечений. Моддинг – мощное средство самовыражения; это, безусловно, творчество, возможность поработать головой и руками, приобрести ценный опыт.
ТОВАРЫ ДЛЯ МОДДИНГА
Существует масса специализированных интернет-магазинов (как российских, так и зарубежных), которые предлагают товары для моддинга, доставляя их по всему миру. Отечественными пользоваться удобнее: с иностранными больше хлопот (например, при переводе денег), да и доставка, как правило, дорогая. Подобные специализированные ресурсы легко найти, воспользовавшись поисковыми системами.
Иногда принадлежности для моддинга совершенно неожиданно обнаруживаются в прайс-листах обычных интернет-магазинов, причем цена на них подчас ниже, чем в специализированных. Поэтому рекомендуем не спешить с покупкой того или иного аксессуара – сперва тщательно изучите несколько прайс-листов.
Что изменяют моддеры в компьютерах
Вряд ли среднестатистический моддер способен переделать сложную начинку: возможности пользователя, не обладающего специальными знаниями в области радиоэлектроники и схемотехники, все же ограниченны. Поэтому компьютерный моддинг предполагает в основном «косметическое» преображение корпуса компьютера.
ОСНОВНЫЕ ПРОИЗВОДИТЕЛИ ТОВАРОВ ДЛЯ МОДДИНГА
Чтобы лучше ориентироваться в комплектующих, имеет смысл знать имена некоторых компаний, специализирующихся на выпуске мод-товаров: Sunbeam, Floston, Gembird, Revoltec, Vizo, Sharkoon, Vantec, Spire, Hanyang, 3R System, G. M. Corporation, Korealcom, RaidMax, Sirtec (компьютерные корпуса и блоки питания), Zalman, Akasa (БП, системы охлаждения), Koolance, SwiftTech (водяное охлаждение), VapoChill (системы криогенного охлаждения), Thermaltake (в основном корпуса и мод-панели).
В частности, осуществляются так называемые blowhole-моды: в корпусе прорезаются отверстия для вентиляции, а также для установки дополнительных кулеров. Такие модификации не просто улучшают внешний вид – они полезны для общего «здоровья» компьютера, поскольку усиливают охлаждение компонентов системы.
Опытные моддеры часто сочетают приятное с полезным: устанавливают жидкостные системы охлаждения (большинство их имеет совершенно футуристический дизайн).
Они крупнее по размерам и, как правило, дороже традиционных воздушных, зато позволяют разгонять центральный процессор, видеокарту и оперативную память.
СИСТЕМА ЖИДКОСТНОГО ОХЛАЖДЕНИЯ KOOLANCE EXOS-2 V2
Построение эффективной системы водяного охлаждения (СВО) – задача не из легких и в техническом, и в финансовом смысле. Как было сказано, необходим солидный багаж специальных знаний, которые есть далеко не у каждого; да и без технических навыков не обойтись. Все это сильно стимулирует к покупке готовой СВО. Склоняясь к данному варианту, будьте готовы изрядно раскошелиться. Причем далеко не факт, что прирост производительности процессора и прочих компонентов системного блока, даже разогнанного благодаря эффективному отводу тепла новой СВО, окупит разницу в стоимости по сравнению со штатной (или даже улучшенной) системой воздушного охлаждения. Но у такого варианта есть и явные плюсы. Приобретая готовую СВО, вы не должны будете самостоятельно подбирать отдельные компоненты, заказывать их на сайтах разных производителей или продавцов, ожидать доставки и т.п. К тому же не придется заниматься модификацией корпуса ПК – часто это преимущество перевешивает все недостатки. Наконец, серийные СВО обычно дешевле моделей, собранных по частям.
Примером СВО, предоставляющей разумный компромисс между свободной творчества и простотой сборки (без ущерба для эффективности охлаждения), является система KoolanceExos-2 V2. Она позволяет использовать самые разные водоблоки (так называются полые теплообменники, накрывающие охлаждаемый элемент) из широкого ассортимента, выпускаемого компанией. Блок данной СВО объединяет радиатор-теплообменник с вентиляторами, помпу, расширительный бачок, датчики и управляющую электронику.
Процесс установки и подключения таких СВО очень прост – он подробно описан в руководстве пользователя. Учтите, что вентиляционные отверстия СВО располагаются сверху. Соответственно, над вентиляторами должно быть достаточно свободного места для оттока нагретого воздуха (не менее 240 мм при диаметре вентиляторов 120 мм). Если такого пространства сверху нет (например, мешает столешница компьютерного стола), можно просто положить блок СВО рядом с системным блоком – хотя такой вариант не описан в инструкции.
Мод-товары для систем охлаждения
Хотя ассортимент модтоваров, которые предлагаются российскими специализированными интернетмагазинами, не очень широк (по сравнению с зарубежными компаниями), начинающий любитель моддинга может легко и просто запутаться в позициях прайслиста и не совсем верно понять предназначение или преимущества тех или иных аксессуаров.
Самый простой и очевидный способ моддинга – замена штатных кулеров на моддерские с подсветкой (их выбор также достаточно широк: есть и мощные процессорные кулеры, и слабенькие – декоративные).
Главное правило: сравнивайте цены в разных поисковых системах и интернетмагазинах! Амплитуда колебаний вас немало удивит. Разумеется, следует выбирать более дешевые предложения, непременно обращая внимание на условия оплаты, доставки и гарантии.







